Официальное опубликование правовых актов
ОФИЦИАЛЬНОЕ ОПУБЛИКОВАНИЕ
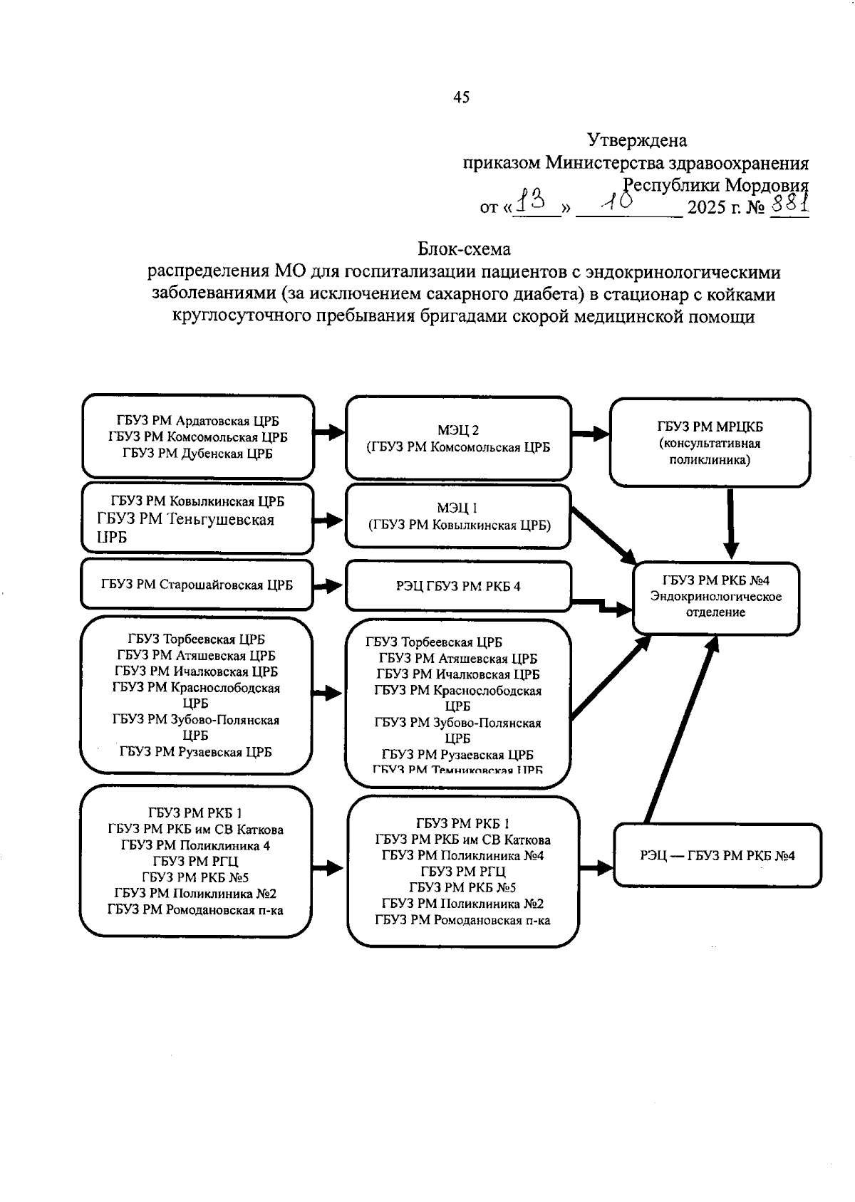
Приказ Министерства здравоохранения Республики Мордовия от 13.10.2025 № 881
"Об утверждении маршрутизации пациентов с эндокринологическими заболеваниями на территории Республики Мордовия"
(Зарегистрирован 13.10.2025 № 022025018)
Номер опубликования: 1301202510150002
Дата опубликования: 15.10.2025
Страница №45 из 69:
Увеличить