Официальное опубликование правовых актов
ОФИЦИАЛЬНОЕ ОПУБЛИКОВАНИЕ
Приказ Министерства социальной защиты, труда и занятости населения Республики Мордовия от 13.01.2025 № ОД-5
"О внесении изменений в приказ Министерства социальной защиты, труда и занятости населения Республики Мордовия от 9 января 2024 г. № ОД-1 "Об утверждении паспортов комплексов процессных мероприятий Государственной программы Республики Мордовия "Социальная поддержка граждан", утвержденной постановлением Правительства Республики Мордовия от 27 декабря 2023 г. № 754"
(Зарегистрирован 13.01.2025 № 09-2025/002)
Номер опубликования: 1301202501140002
Дата опубликования: 14.01.2025
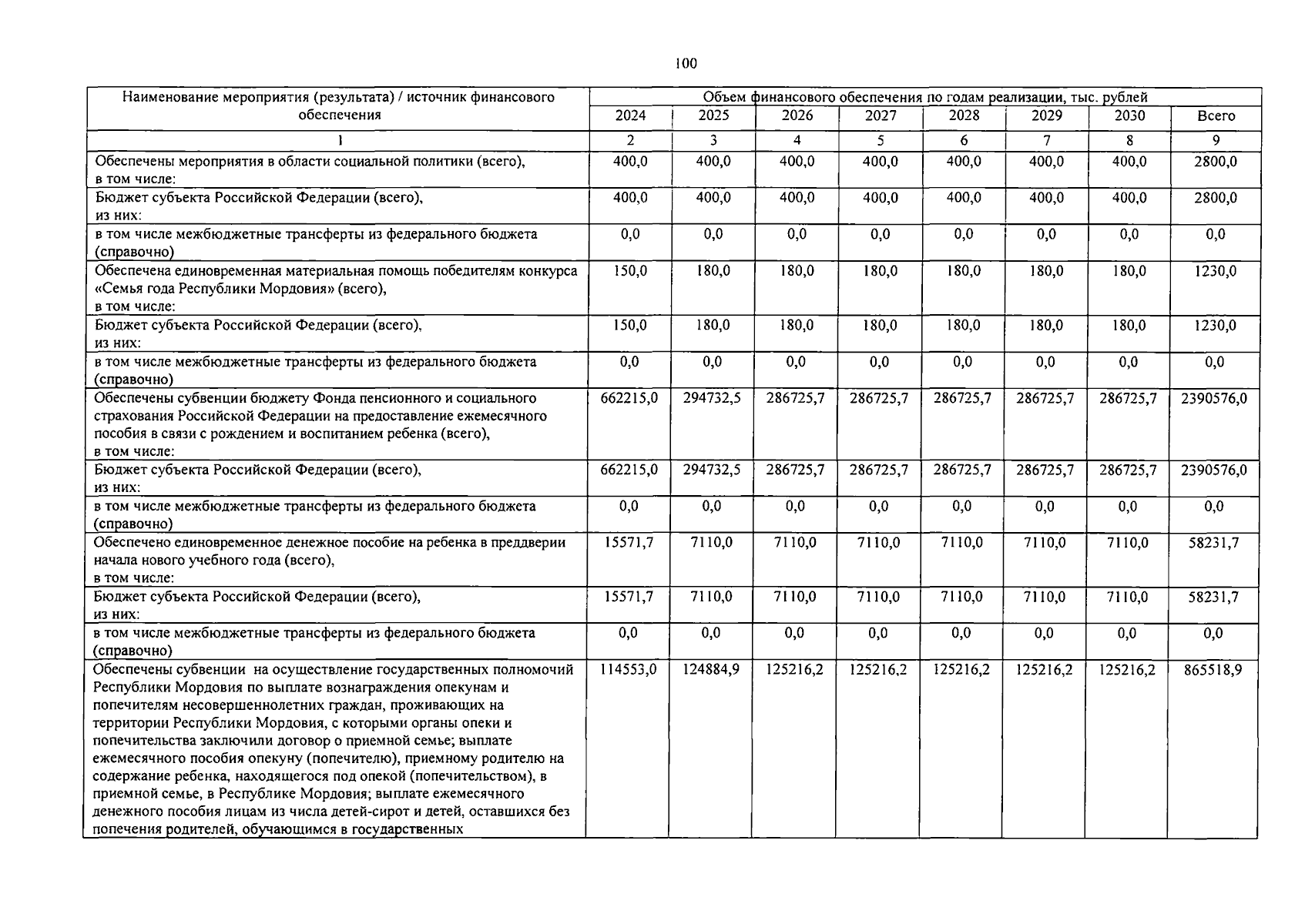
Страница №100 из 125:
Увеличить