Приказ Государственного комитета по тарифам Республики Мордовия от 17.12.2024 № 226
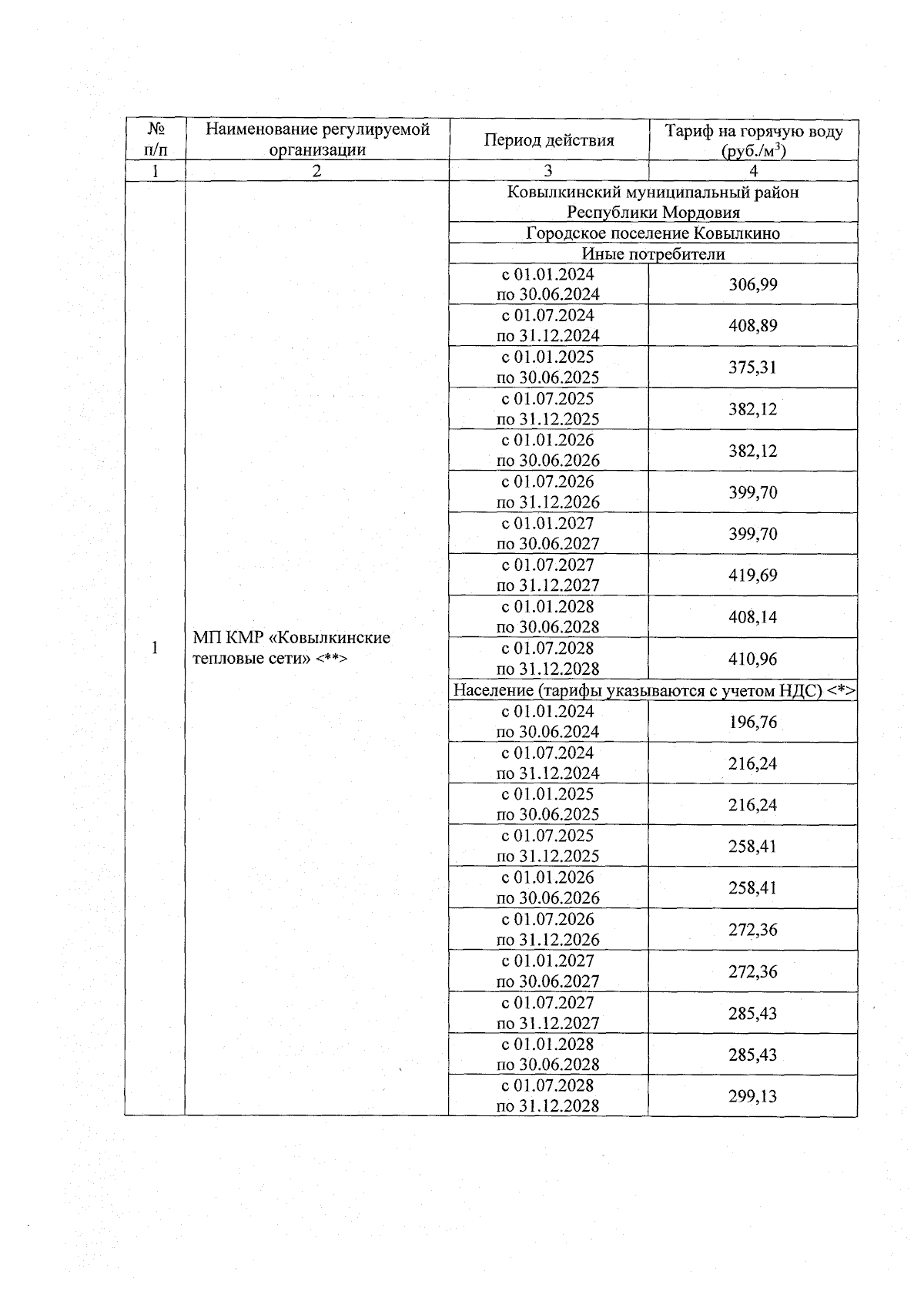
"О внесении изменений в приказ Государственного комитета по тарифам Республики Мордовия от 18 декабря 2023 г. № 292 "Об утверждении производственной программы и установлении тарифов на горячую воду в закрытых системах горячего водоснабжения для МП КМР "Ковылкинские тепловые сети", оказывающего услуги в сфере горячего водоснабжения на 2024-2028 годы"
(Зарегистрирован 17.12.2024 № 192024125)
"О внесении изменений в приказ Государственного комитета по тарифам Республики Мордовия от 18 декабря 2023 г. № 292 "Об утверждении производственной программы и установлении тарифов на горячую воду в закрытых системах горячего водоснабжения для МП КМР "Ковылкинские тепловые сети", оказывающего услуги в сфере горячего водоснабжения на 2024-2028 годы"
(Зарегистрирован 17.12.2024 № 192024125)
Номер опубликования: 1301202412190009
Дата опубликования:
19.12.2024
