Официальное опубликование правовых актов
ОФИЦИАЛЬНОЕ ОПУБЛИКОВАНИЕ
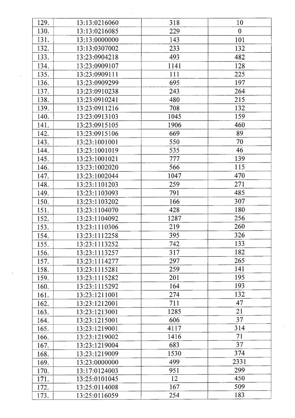
Приказ Министерства земельных и имущественных отношений Республики Мордовия от 27.08.2024 № 69
"О внесении изменения в Перечень кадастровых кварталов, в границах которых предполагается проведение комплексных кадастровых работ на территории Республики Мордовия в 2025 году, утвержденный приказом Министерства земельных и имущественных отношений Республики Мордовия от 29 марта 2024 г. № 24 "Об утверждении перечня кадастровых кварталов, в границах которых предполагается проведение комплексных кадастровых работ на территории Республики Мордовия в 2025 году"
(Зарегистрирован 28.08.2024 № 032024019)
Номер опубликования: 1301202409040005
Дата опубликования: 04.09.2024
Страница №2 из 3:
Увеличить