Официальное опубликование правовых актов
ОФИЦИАЛЬНОЕ ОПУБЛИКОВАНИЕ
Приказ Министерства культуры, национальной политики и архивного дела Республики Мордовия от 15.02.2024 № 82
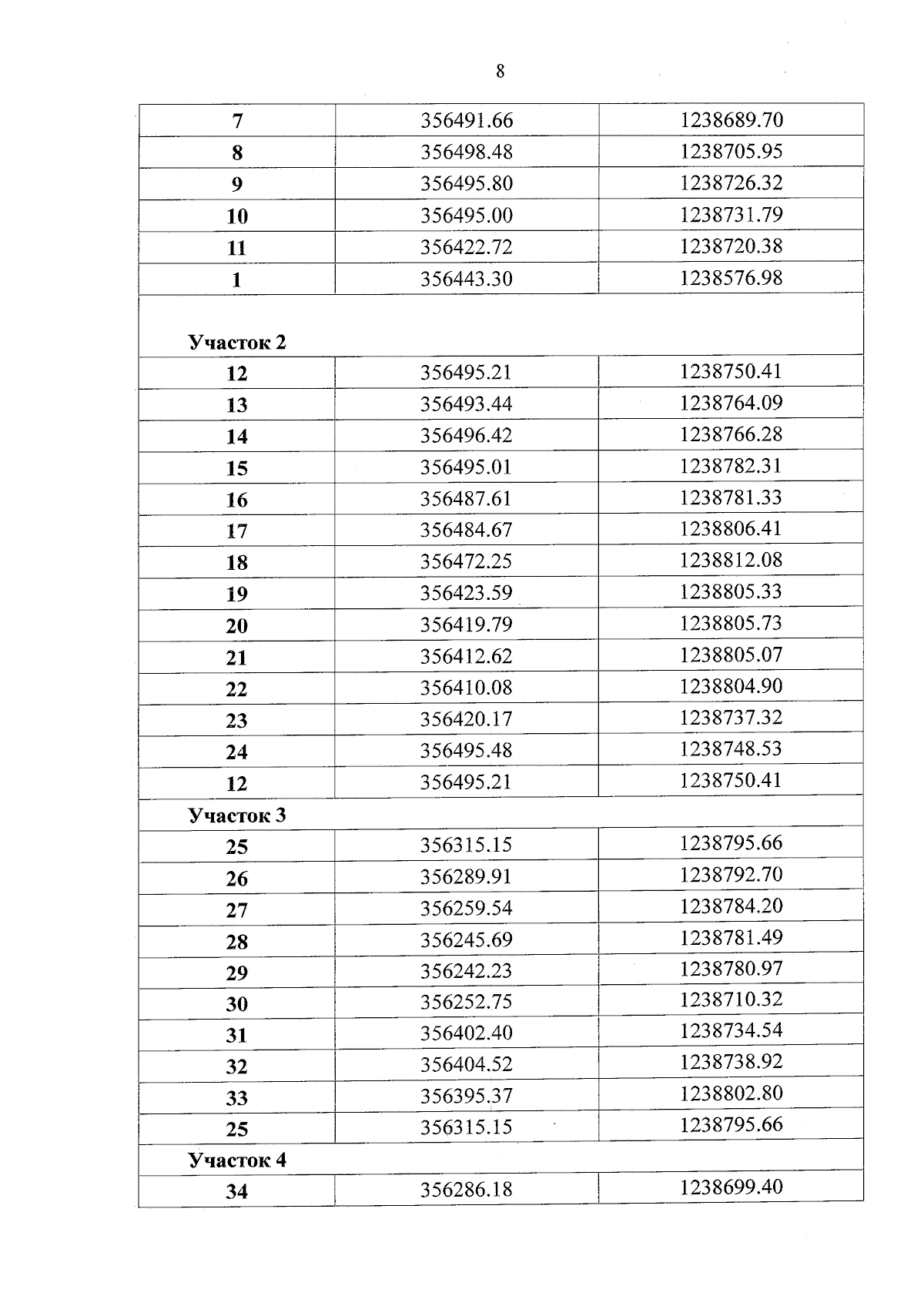
"Об утверждении зон охраны, режимов использования земель и требований к градостроительным регламентам в границах территории зон охраны объекта культурного наследия регионального значения "Памятник архитектуры начала XX в., бывшее здание гимназии"
(Зарегистрирован 15.02.2024 № 042024005)
Номер опубликования: 1301202402160004
Дата опубликования: 16.02.2024
Страница №10 из 17:
Увеличить