Официальное опубликование правовых актов
ОФИЦИАЛЬНОЕ ОПУБЛИКОВАНИЕ
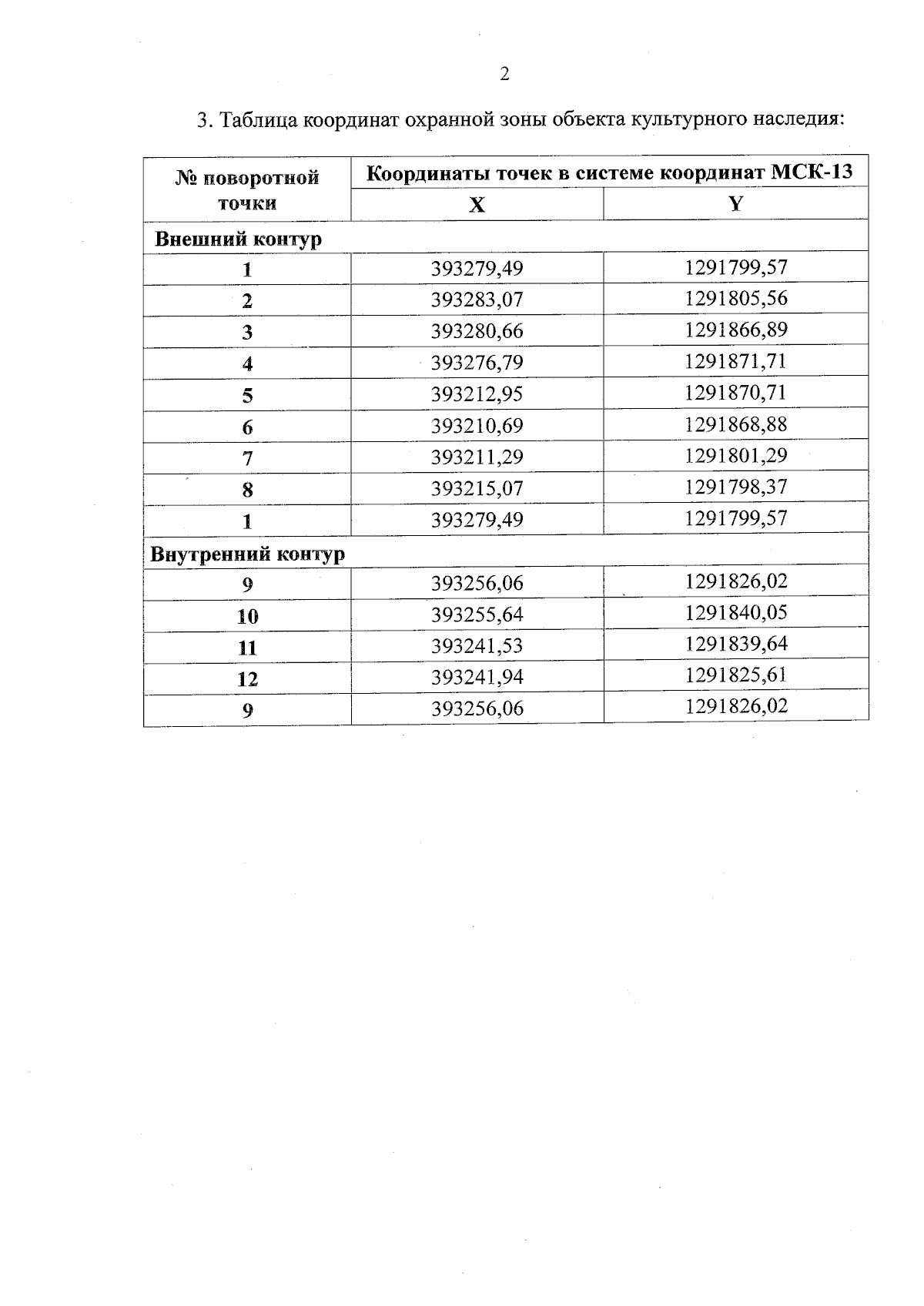
Приказ Министерства культуры, национальной политики и архивного дела Республики Мордовия от 31.10.2023 № 342
"Об утверждении зон охраны, режимов использования земель и требований к градостроительным регламентам в границах территории зон охраны объекта культурного наследия федерального значения "Памятник Героям-стратонавтам И.Д. Усыскину, П.Ф. Федосеенко, А.Б. Васенко"
(Зарегистрирован 31.10.2023 № 042023036)
Номер опубликования: 1301202311020004
Дата опубликования: 02.11.2023
Страница №4 из 7:
Увеличить