Официальное опубликование правовых актов
ОФИЦИАЛЬНОЕ ОПУБЛИКОВАНИЕ
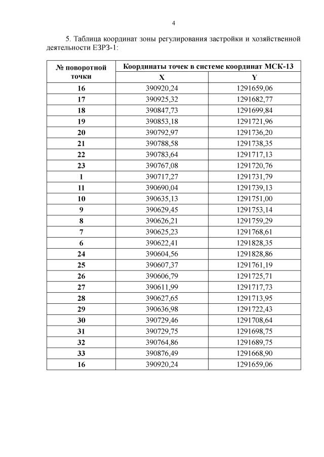
Приказ Министерства культуры, национальной политики и архивного дела Республики Мордовия от 09.03.2023 № 99
"Об утверждении объединенной зоны охраны объектов культурного наследия федерального значения: "Трехсвятительская церковь", "Пугачевская палатка, с крыльца которой в 1775 году Емельян Пугачев выступал перед жителями города и войсками", объекта культурного наследия регионального значения "Братская могила борцов за Советскую власть, погибших в 1918 году" и режимов использования земель и требований к градостроительным регламентам в границах территории данной зоны"
Номер опубликования: 1301202303140002
Дата опубликования: 14.03.2023
Страница №6 из 16:
Увеличить