Официальное опубликование правовых актов
ОФИЦИАЛЬНОЕ ОПУБЛИКОВАНИЕ
Приказ Министерства культуры, национальной политики и архивного дела Республики Мордовия от 15.02.2023 № 71
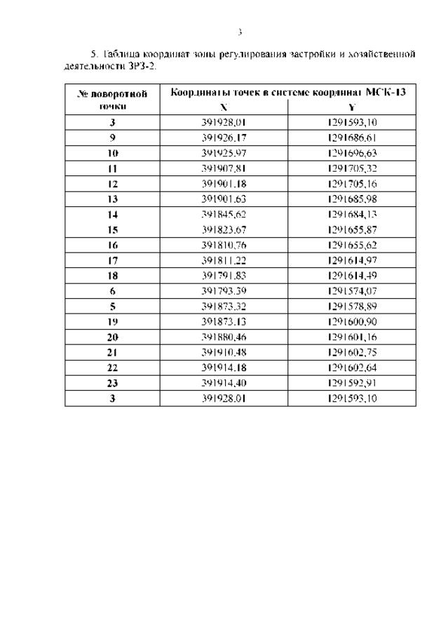
"Об утверждении зон охраны, режимов использования земель и требований к градостроительным регламентам в границах территории зон охраны объекта культурного наследия регионального значения "Памятник провинциальной архитектуры XIX в."
Номер опубликования: 1301202302210004
Дата опубликования: 21.02.2023
Страница №5 из 10:
Увеличить