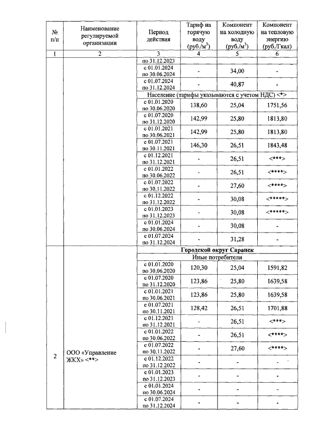
Приказ Республиканской службы по тарифам Республики Мордовия от 17.11.2022 № 254
"О внесении изменений в приказ Республиканской службы по тарифам Республики Мордовия от 17 декабря 2019 г. № 214 "Об утверждении производственных программ и установлении тарифов на горячую воду в закрытых системах горячего водоснабжения для ООО ФСК "РуссТЭК" и ООО "Управление ЖКХ", оказывающих услуги в сфере горячего водоснабжения на 2020-2024 годы"
"О внесении изменений в приказ Республиканской службы по тарифам Республики Мордовия от 17 декабря 2019 г. № 214 "Об утверждении производственных программ и установлении тарифов на горячую воду в закрытых системах горячего водоснабжения для ООО ФСК "РуссТЭК" и ООО "Управление ЖКХ", оказывающих услуги в сфере горячего водоснабжения на 2020-2024 годы"
Номер опубликования: 1301202211180014
Дата опубликования:
18.11.2022
