Официальное опубликование правовых актов
ОФИЦИАЛЬНОЕ ОПУБЛИКОВАНИЕ
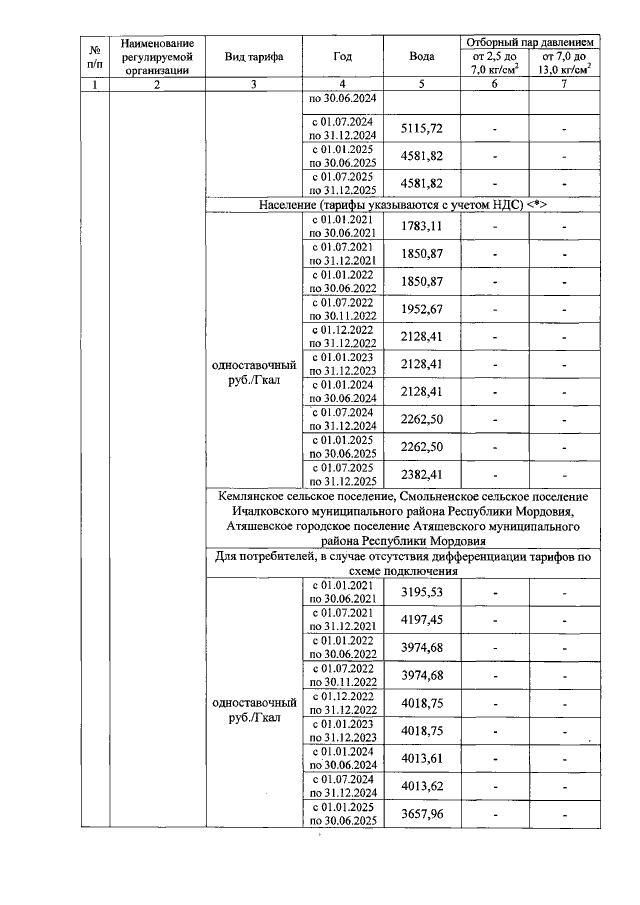
Приказ Республиканской службы по тарифам Республики Мордовия от 16.11.2022 № 218
"О внесении изменений в приказ Республиканской службы по тарифам Республики Мордовия от 16 декабря 2020 г. № 234 "О долгосрочных параметрах регулирования и тарифах на тепловую энергию, поставляемую ООО "Теплоснаб" потребителям на 2021-2025 годы"
Номер опубликования: 1301202211170018
Дата опубликования: 17.11.2022
Страница №4 из 10:
Увеличить