Официальное опубликование правовых актов
ОФИЦИАЛЬНОЕ ОПУБЛИКОВАНИЕ
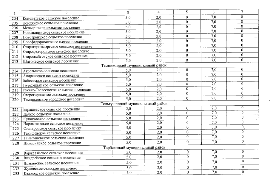
Приказ Республиканской службы по тарифам Республики Мордовия от 08.06.2022 № 71
"О результатах мониторинга соблюдения предельных (максимальных) индексов изменения размера вносимой гражданами платы за коммунальные услуги в муниципальных образованиях Республики Мордовия за май 2022 года"
Номер опубликования: 1301202206120002
Дата опубликования: 12.06.2022
Страница №10 из 11:
Увеличить