Официальное опубликование правовых актов
ОФИЦИАЛЬНОЕ ОПУБЛИКОВАНИЕ
Приказ Государственного комитета имущественных и земельных отношений Республики Мордовия от 09.06.2022 № 52
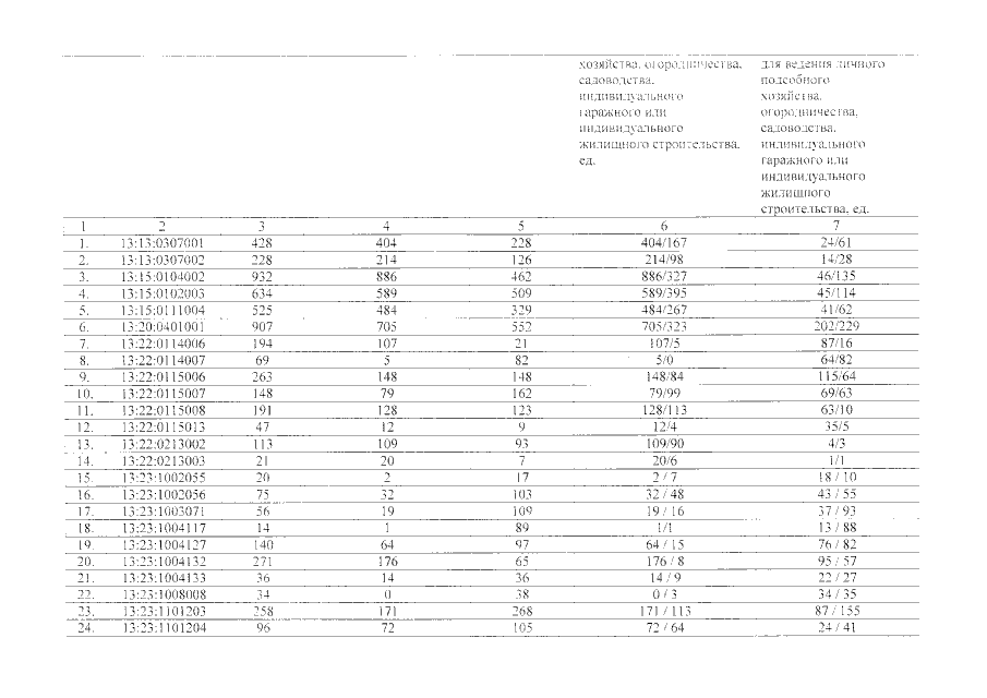
"О внесении изменений в приказ Государственного комитета имущественных и земельных отношений Республики Мордовия от 31 мая 2022 г. № 50 "Об утверждении перечней кадастровых кварталов, в границах которых предполагается проведение комплексных кадастровых работ на территории Республики Мордовия в 2022, 2023, 2024, 2025 годах"
Номер опубликования: 1301202206100003
Дата опубликования: 10.06.2022
Страница №9 из 10:
Увеличить