Официальное опубликование правовых актов
ОФИЦИАЛЬНОЕ ОПУБЛИКОВАНИЕ
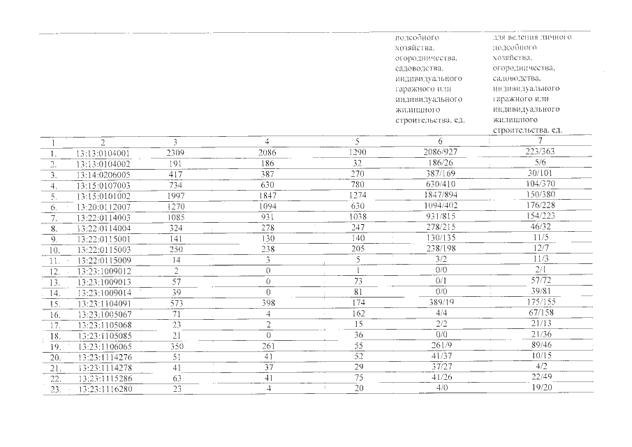
Приказ Государственного комитета имущественных и земельных отношений Республики Мордовия от 31.05.2022 № 50
"Об утверждении перечней кадастровых кварталов, в границах которых предполагается проведение комплексных кадастровых работ на территории Республики Мордовия в 2022, 2023, 2024, 2025 годах"
Номер опубликования: 1301202206010001
Дата опубликования: 01.06.2022
Страница №16 из 20:
Увеличить