Официальное опубликование правовых актов
ОФИЦИАЛЬНОЕ ОПУБЛИКОВАНИЕ
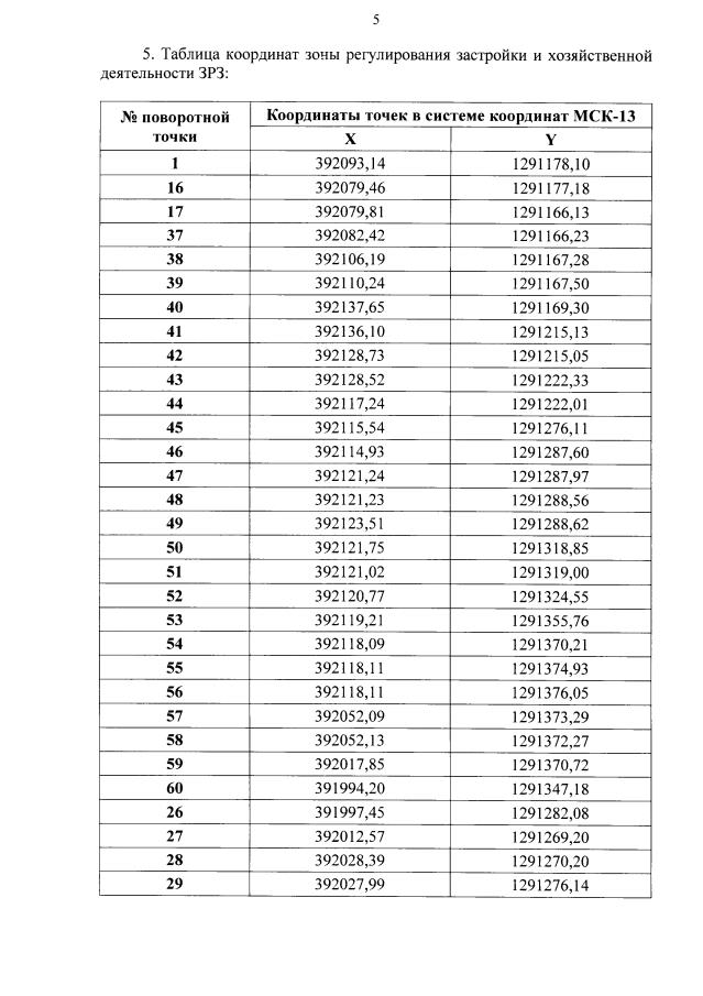
Приказ Министерства культуры, национальной политики и архивного дела Республики Мордовия от 24.02.2022 № 63
"Об утверждении зон охраны, режимов использования земель и требований к градостроительным регламентам в границах территории зон охраны объекта культурного наследия регионального значения "Здание Мордовского республиканского музея изобразительных искусств имени С,Д. Эрьзи"
Номер опубликования: 1301202203010002
Дата опубликования: 01.03.2022
Страница №7 из 12:
Увеличить