Официальное опубликование правовых актов
ОФИЦИАЛЬНОЕ ОПУБЛИКОВАНИЕ
Приказ Республиканской службы по тарифам Республики Мордовия от 16.12.2021 № 248
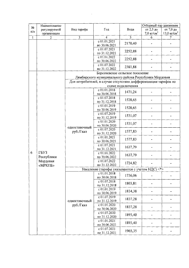
"О внесении изменений в приказ Министерства энергетики и тарифной политики Республики Мордовия от 15 декабря 2017 г. № 170 "О долгосрочных параметрах регулирования и тарифах на тепловую энергию, поставляемую теплоснабжающими организациями потребителям на 2018-2022 годы"
Номер опубликования: 1301202112190008
Дата опубликования: 19.12.2021
Страница №8 из 11:
Увеличить