Официальное опубликование правовых актов
ОФИЦИАЛЬНОЕ ОПУБЛИКОВАНИЕ
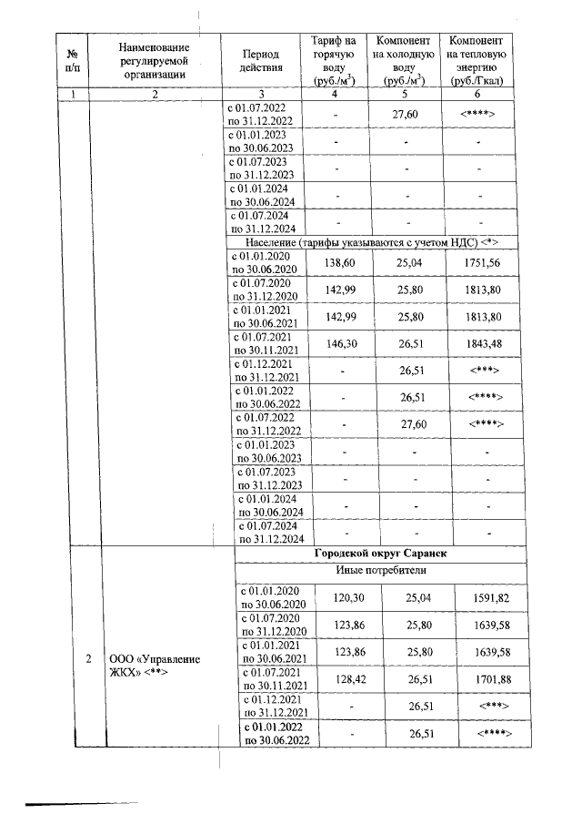
Приказ Республиканской службы по тарифам Республики Мордовия от 16.12.2021 № 261
"О внесении изменений в приказ Республиканской службы по тарифам Республики Мордовия от 17 декабря 2019 г. № 214 "Об утверждении производственных программ и установлении тарифов на горячую воду в закрытых системах горячего водоснабжения для ООО ФСК "РуссТЭК" и ООО "Управление ЖКХ", оказывающих услуги в сфере горячего водоснабжения на 2020-2024 годы"
Номер опубликования: 1301202112190001
Дата опубликования: 19.12.2021
Страница №8 из 11:
Увеличить