Официальное опубликование правовых актов
ОФИЦИАЛЬНОЕ ОПУБЛИКОВАНИЕ
Приказ Республиканской службы по тарифам Республики Мордовия от 11.11.2021 № 164
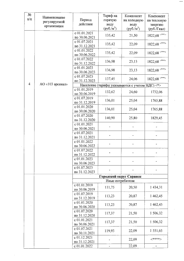
"О внесении изменения в приказ Республиканской службы по тарифам Республики Мордовия от 14 декабря 2018 г. № 209 "Об установлении тарифов на горячую воду в закрытых системах горячего водоснабжения для организаций, оказывающих услуги в сфере горячего водоснабжения, на 2019 - 2023 годы"
Номер опубликования: 1301202111120013
Дата опубликования: 12.11.2021
Страница №5 из 8:
Увеличить