Официальное опубликование правовых актов
ОФИЦИАЛЬНОЕ ОПУБЛИКОВАНИЕ
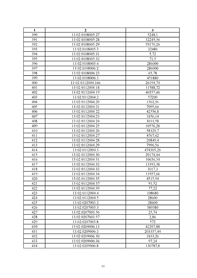
Приказ Государственного комитета имущественных и земельных отношений Республики Мордовия от 29.10.2021 № 108
"Об утверждении результатов определения кадастровой стоимости земельных участков категории земель промышленности, энергетики, транспорта, связи, радиовещания, телевидения, информатики, земель для обеспечения космической деятельности, земель обороны, безопасности и земель иного специального назначения, расположенных на территории Республики Мордовия, по состоянию на 1 января 2021 г."
Номер опубликования: 1301202111020001
Дата опубликования: 02.11.2021
Страница №12 из 152:
Увеличить