Официальное опубликование правовых актов
ОФИЦИАЛЬНОЕ ОПУБЛИКОВАНИЕ
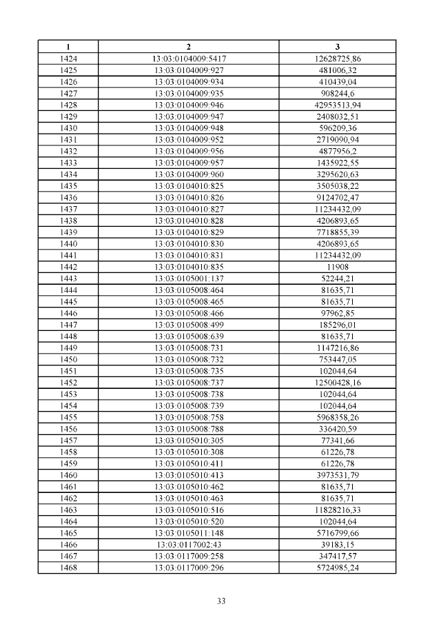
Приказ Государственного комитета имущественных и земельных отношений Республики Мордовия от 20.10.2021 № 105
"Об утверждении результатов определения кадастровой стоимости объектов недвижимости - сооружений, расположенных на территории Республики Мордовия, по состоянию на 1 января 2021 г."
Номер опубликования: 1301202110280002
Дата опубликования: 28.10.2021
Страница №35 из 513:
Увеличить