Официальное опубликование правовых актов
ОФИЦИАЛЬНОЕ ОПУБЛИКОВАНИЕ
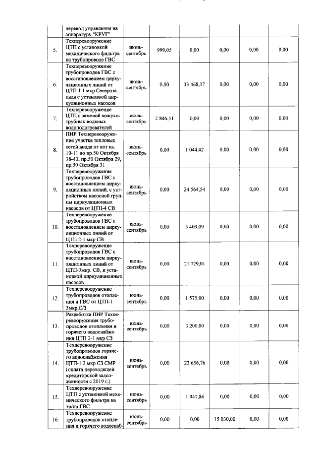
Приказ Республиканской службы по тарифам Республики Мордовия от 16.12.2020 № 235
"О внесении изменения в приказ Республиканской службы по тарифам Республики Мордовия от 14 декабря 2018 г. № 208 "Об утверждении производственных программ для организаций, оказывающих услуги в сфере горячего водоснабжения на 2019-2023 годы"
Номер опубликования: 1301202012210039
Дата опубликования: 21.12.2020
Страница №12 из 14:
Увеличить