Приказ Республиканской службы по тарифам Республики Мордовия от 16.12.2020 № 244
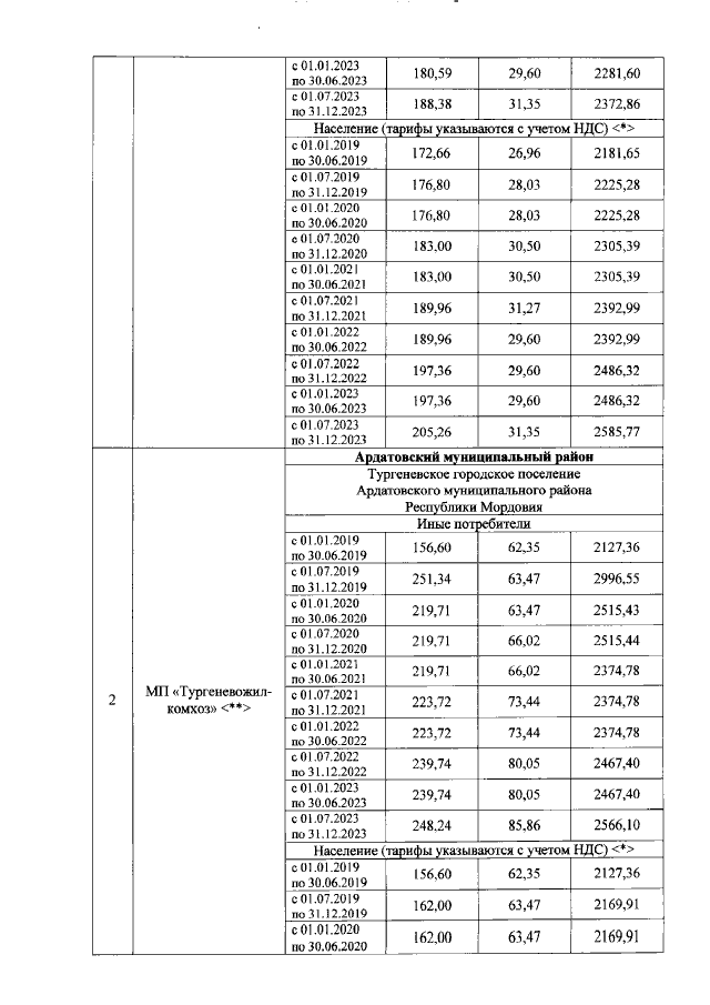
"О внесении изменений в приказ Республиканской службы по тарифам Республики Мордовия от 14 декабря 2018 г. № 212 "Об утверждении производственных программ и установлении тарифов на горячую воду в закрытых системах горячего водоснабжения для АО "Мордовская электросеть" и МП "Тургеневожилкомхоз", оказывающих услуги в сфере горячего водоснабжения на 2019-2023 годы"
"О внесении изменений в приказ Республиканской службы по тарифам Республики Мордовия от 14 декабря 2018 г. № 212 "Об утверждении производственных программ и установлении тарифов на горячую воду в закрытых системах горячего водоснабжения для АО "Мордовская электросеть" и МП "Тургеневожилкомхоз", оказывающих услуги в сфере горячего водоснабжения на 2019-2023 годы"
Номер опубликования: 1301202012210003
Дата опубликования:
21.12.2020
