Официальное опубликование правовых актов
ОФИЦИАЛЬНОЕ ОПУБЛИКОВАНИЕ
Приказ Министерства информатизации и связи Республики Мордовия от 28.11.2017 № 122
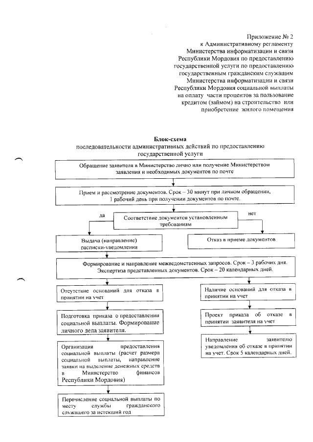
"Об утверждении Административного регламента Министерства информатизации и связи Республики Мордовия по предоставлению государственной услуги по предоставлению государственным гражданским служащим Министерства информатизации и связи Республики Мордовия социальной выплаты на оплату части процентов за пользование кредитом (займом) на строительство или приобретение жилого помещения"
Номер опубликования: 1301201712060002
Дата опубликования: 06.12.2017
Страница №26 из 27:
Увеличить