Официальное опубликование правовых актов
ОФИЦИАЛЬНОЕ ОПУБЛИКОВАНИЕ
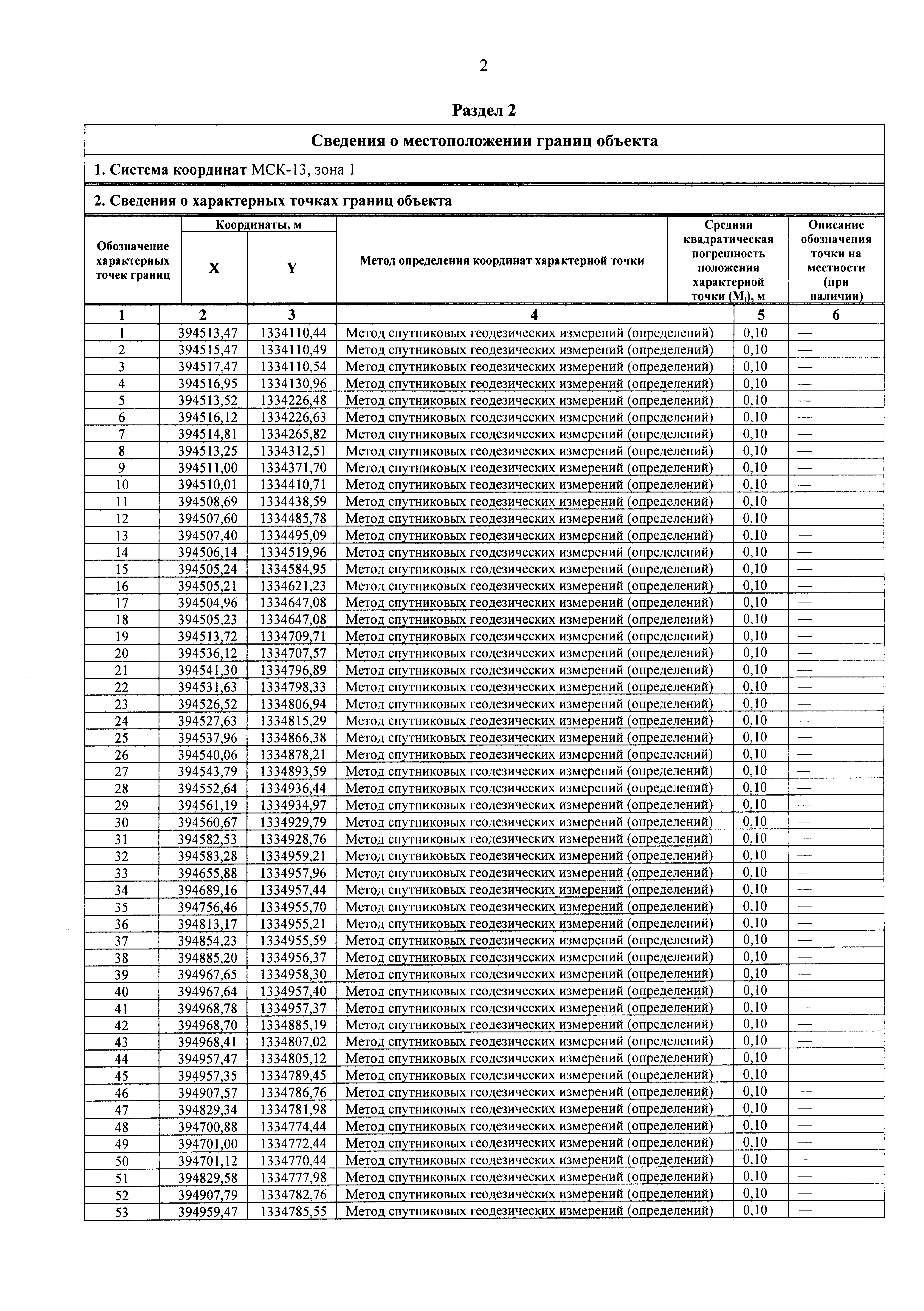
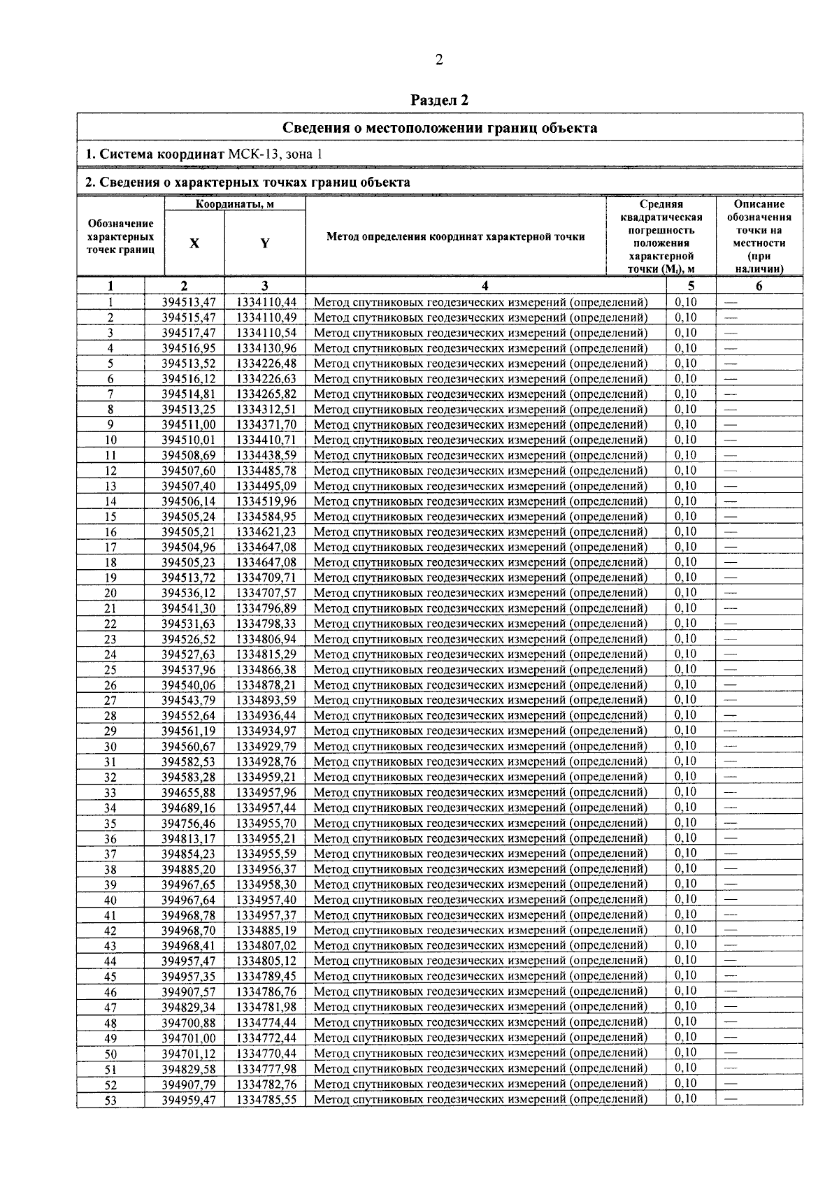
Постановление Правительства Республики Мордовия от 03.04.2026 № 336
"Об утверждении границы охранной зоны газораспределительной сети"
Номер опубликования: 1300202604070013
Дата опубликования: 07.04.2026
Страница №3 из 10: