Официальное опубликование правовых актов
ОФИЦИАЛЬНОЕ ОПУБЛИКОВАНИЕ
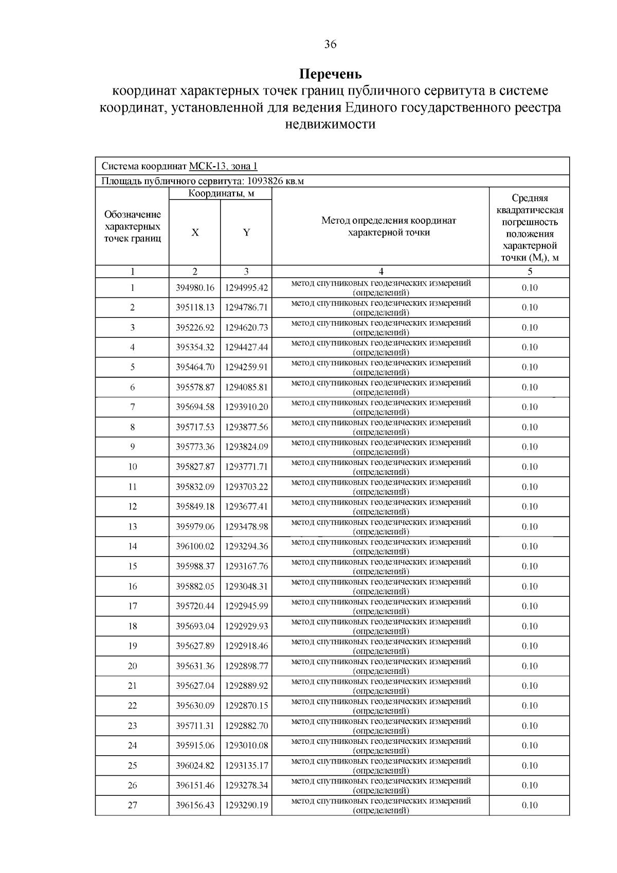
Постановление Правительства Республики Мордовия от 24.03.2026 № 291
"Об установлении публичного сервитута в целях эксплуатации объекта электросетевого хозяйства "Линейный объект ВЛ 110 КВ "ТЭЦ-2 – Пятина" с отпайкой на ПС "Восточная"
Номер опубликования: 1300202603240012
Дата опубликования: 24.03.2026
Страница №38 из 52:
Увеличить