Официальное опубликование правовых актов
ОФИЦИАЛЬНОЕ ОПУБЛИКОВАНИЕ
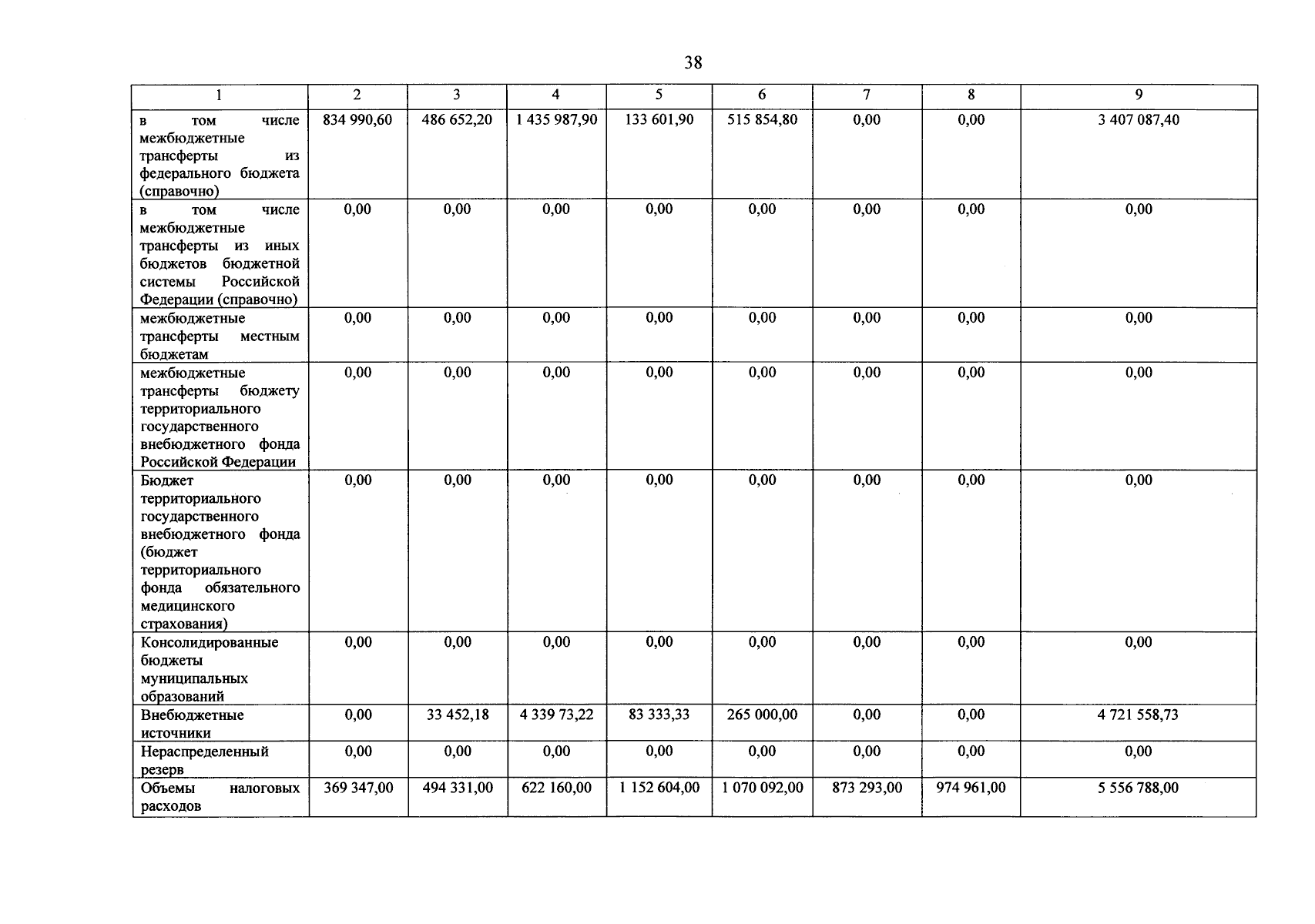
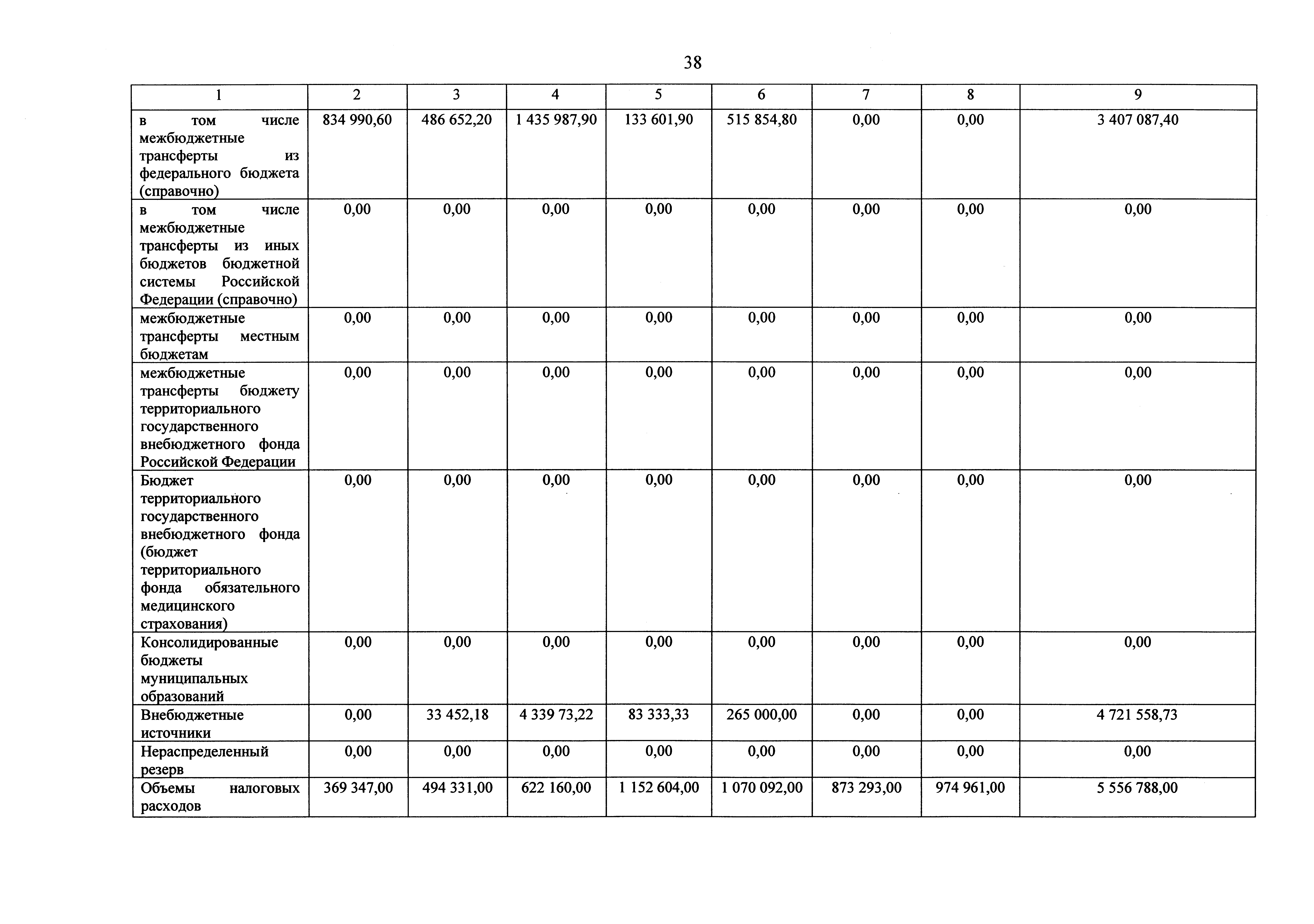
Постановление Правительства Республики Мордовия от 30.01.2026 № 42
"О внесении изменений в государственную программу Республики Мордовия "Экономическое развитие Республики Мордовия"
Номер опубликования: 1300202602030006
Дата опубликования: 03.02.2026
Страница №38 из 62: