Официальное опубликование правовых актов
ОФИЦИАЛЬНОЕ ОПУБЛИКОВАНИЕ
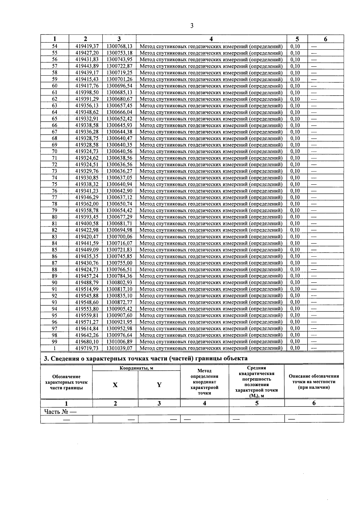
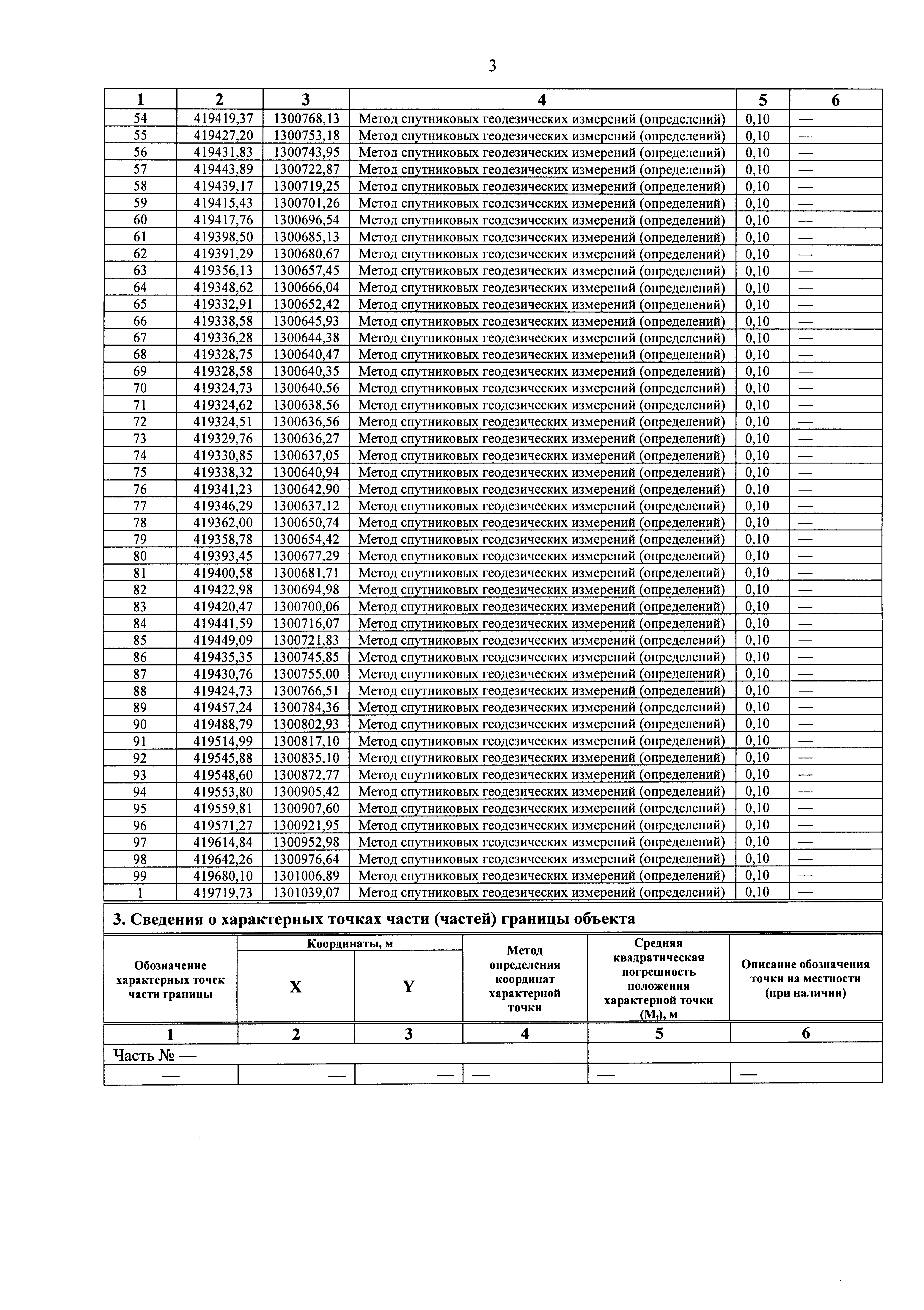
Постановление Правительства Республики Мордовия от 28.11.2025 № 896
"Об утверждении границы охранной зоны газораспределительной сети"
Номер опубликования: 1300202512010011
Дата опубликования: 01.12.2025
Страница №4 из 5: