Официальное опубликование правовых актов
ОФИЦИАЛЬНОЕ ОПУБЛИКОВАНИЕ
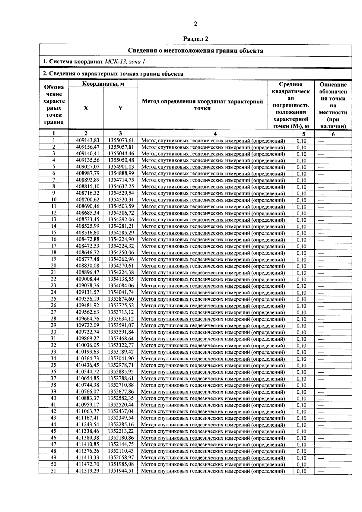
Постановление Правительства Республики Мордовия от 16.09.2025 № 717
"Об утверждении границы охранной зоны газораспределительной сети"
Номер опубликования: 1300202509170002
Дата опубликования: 17.09.2025
Страница №3 из 7: