Официальное опубликование правовых актов
ОФИЦИАЛЬНОЕ ОПУБЛИКОВАНИЕ
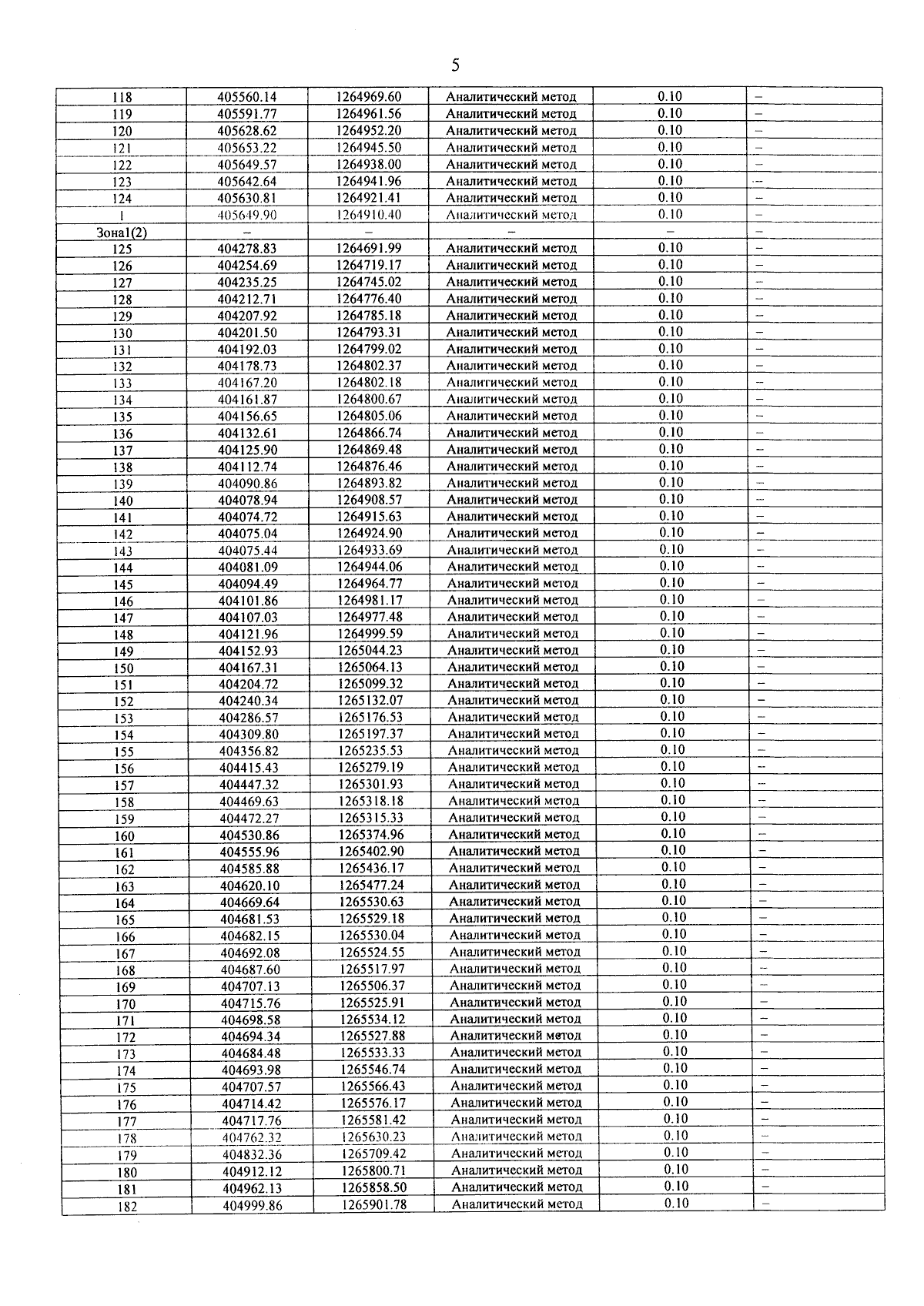
Постановление Правительства Республики Мордовия от 07.07.2025 № 579
"Об утверждении границы охранной зоны газораспределительной сети"
Номер опубликования: 1300202507080004
Дата опубликования: 08.07.2025
Страница №6 из 9: