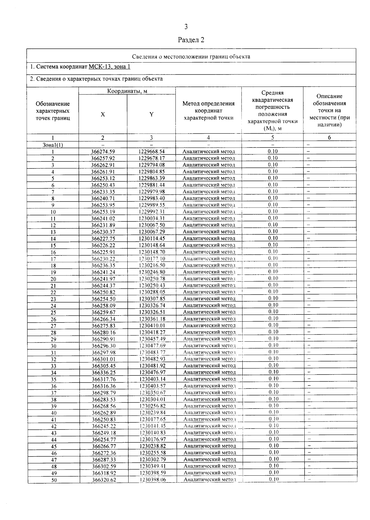
Постановление Правительства Республики Мордовия от 04.07.2025 № 564
"Об утверждении границы охранной зоны газораспределительной сети"
"Об утверждении границы охранной зоны газораспределительной сети"
Номер опубликования: 1300202507040007
Дата опубликования:
04.07.2025
