Официальное опубликование правовых актов
ОФИЦИАЛЬНОЕ ОПУБЛИКОВАНИЕ
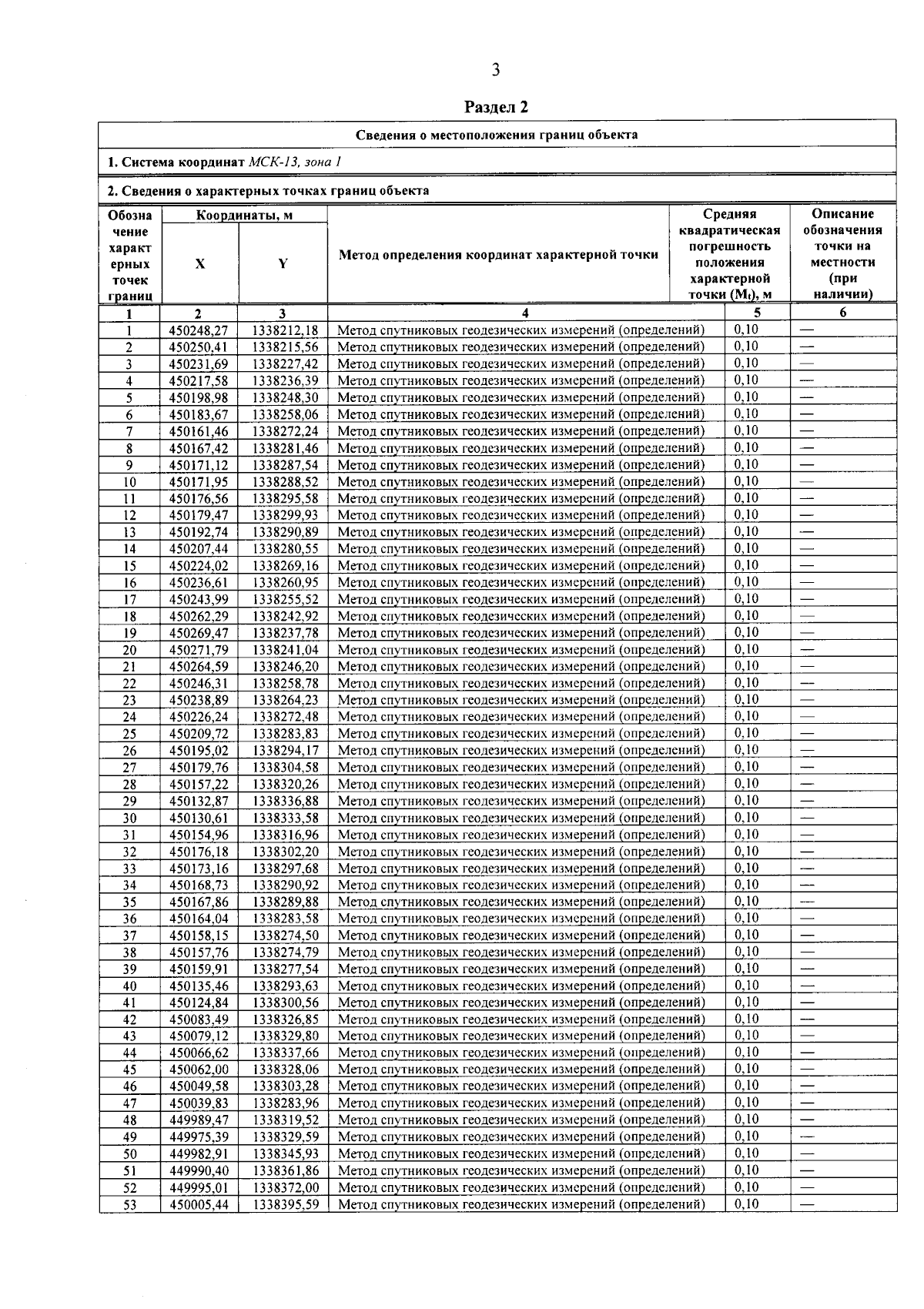
Постановление Правительства Республики Мордовия от 17.06.2025 № 518
"Об утверждении границы охранной зоны газораспределительной сети"
Номер опубликования: 1300202506180003
Дата опубликования: 18.06.2025
Страница №4 из 6:
Увеличить