Официальное опубликование правовых актов
ОФИЦИАЛЬНОЕ ОПУБЛИКОВАНИЕ
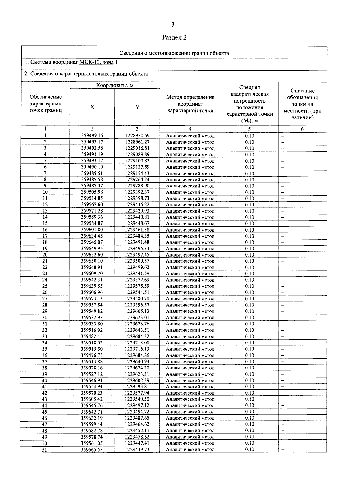
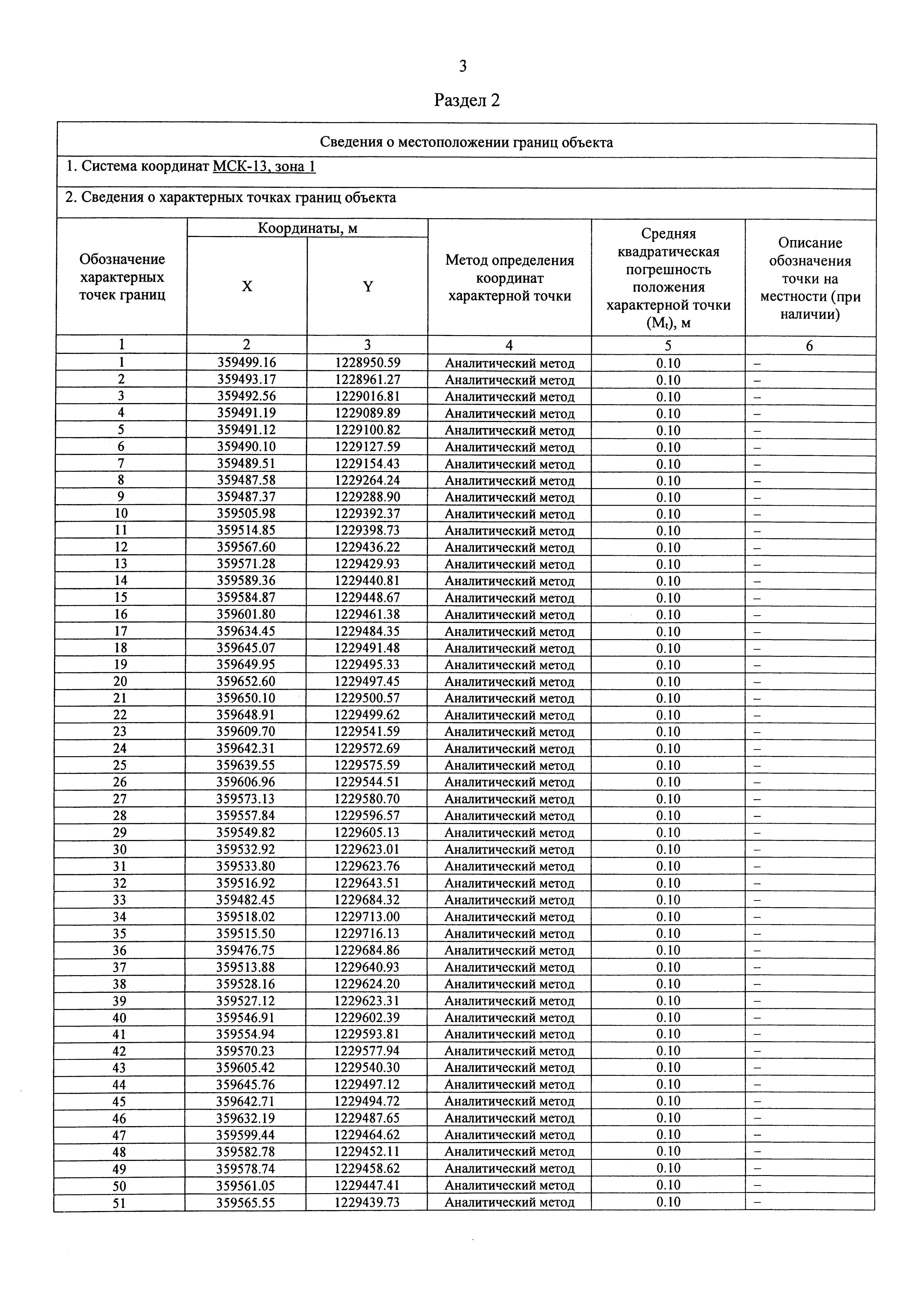
Постановление Правительства Республики Мордовия от 12.05.2025 № 459
"Об утверждении границы охранной зоны газораспределительной сети"
Номер опубликования: 1300202505130025
Дата опубликования: 13.05.2025
Страница №4 из 6: