Официальное опубликование правовых актов
ОФИЦИАЛЬНОЕ ОПУБЛИКОВАНИЕ
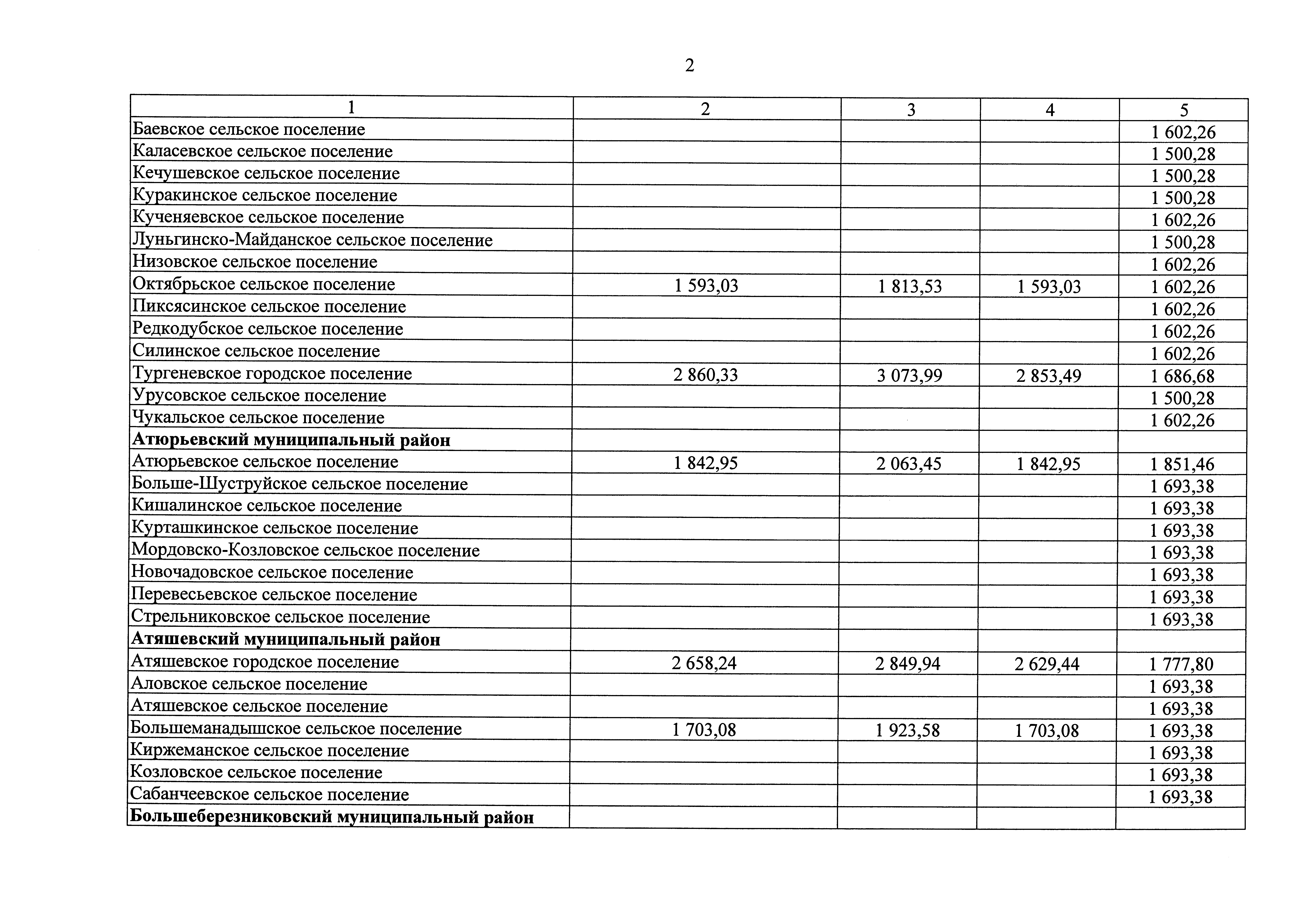
Постановление Правительства Республики Мордовия от 25.03.2025 № 349
"О региональных стандартах стоимости жилищно-коммунальных услуг и максимально допустимой доли расходов граждан на оплату жилого помещения и коммунальных услуг в совокупном доходе семьи на 2025 год, используемых для расчета субсидий, и признании утратившими силу отдельных постановлений Правительства Республики Мордовия"
Номер опубликования: 1300202503250001
Дата опубликования: 25.03.2025
Страница №4 из 32: