Официальное опубликование правовых актов
ОФИЦИАЛЬНОЕ ОПУБЛИКОВАНИЕ
Постановление Правительства Республики Мордовия от 28.02.2025 № 310
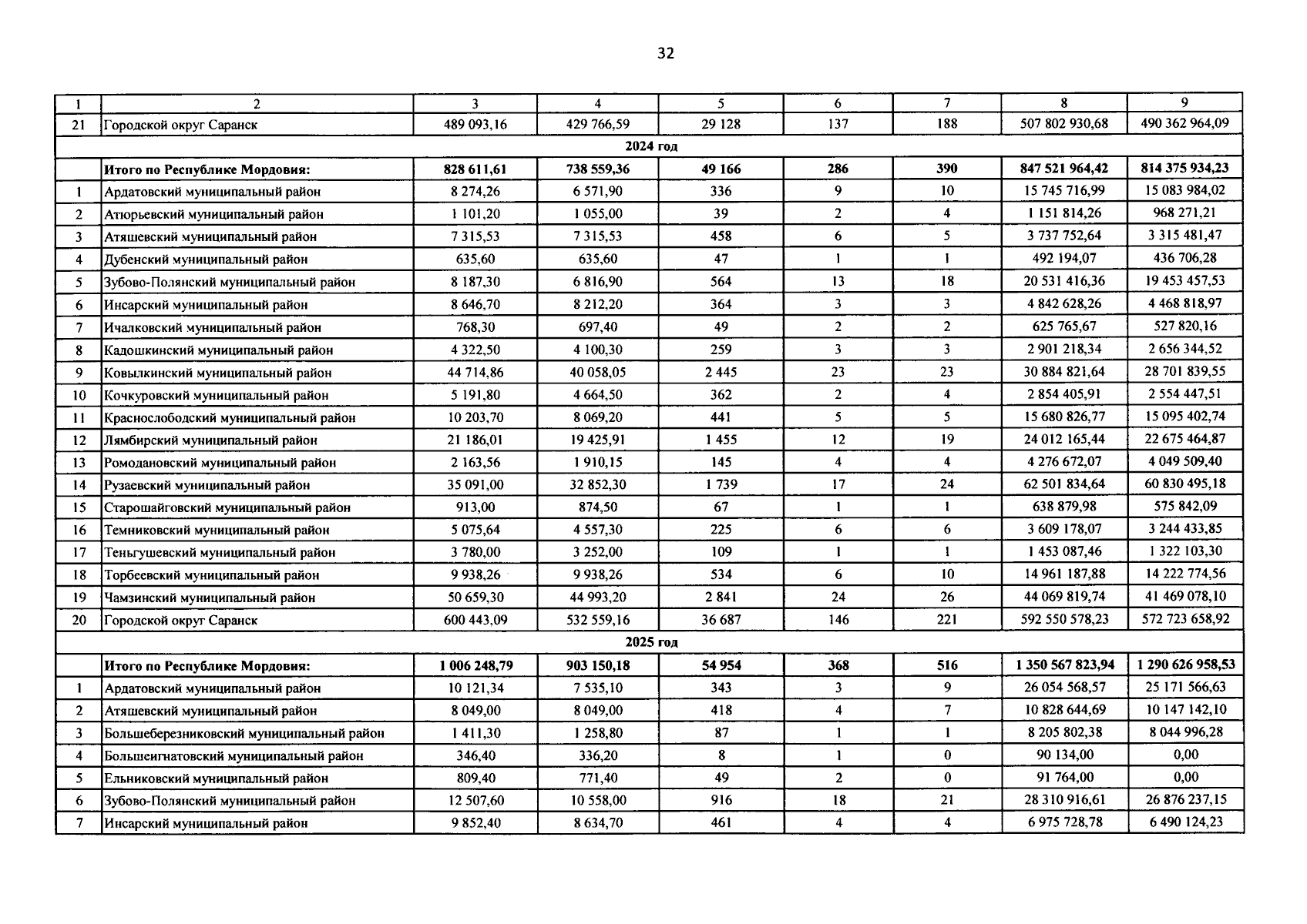
"О внесении изменения в краткосрочный план реализации на 2023 – 2025 годы Республиканской адресной программы "Проведение капитального ремонта общего имущества в многоквартирных домах на территории Республики Мордовия" на 2014 – 2055 годы"
Номер опубликования: 1300202503060007
Дата опубликования: 06.03.2025
Страница №32 из 33:
Увеличить