Официальное опубликование правовых актов
ОФИЦИАЛЬНОЕ ОПУБЛИКОВАНИЕ
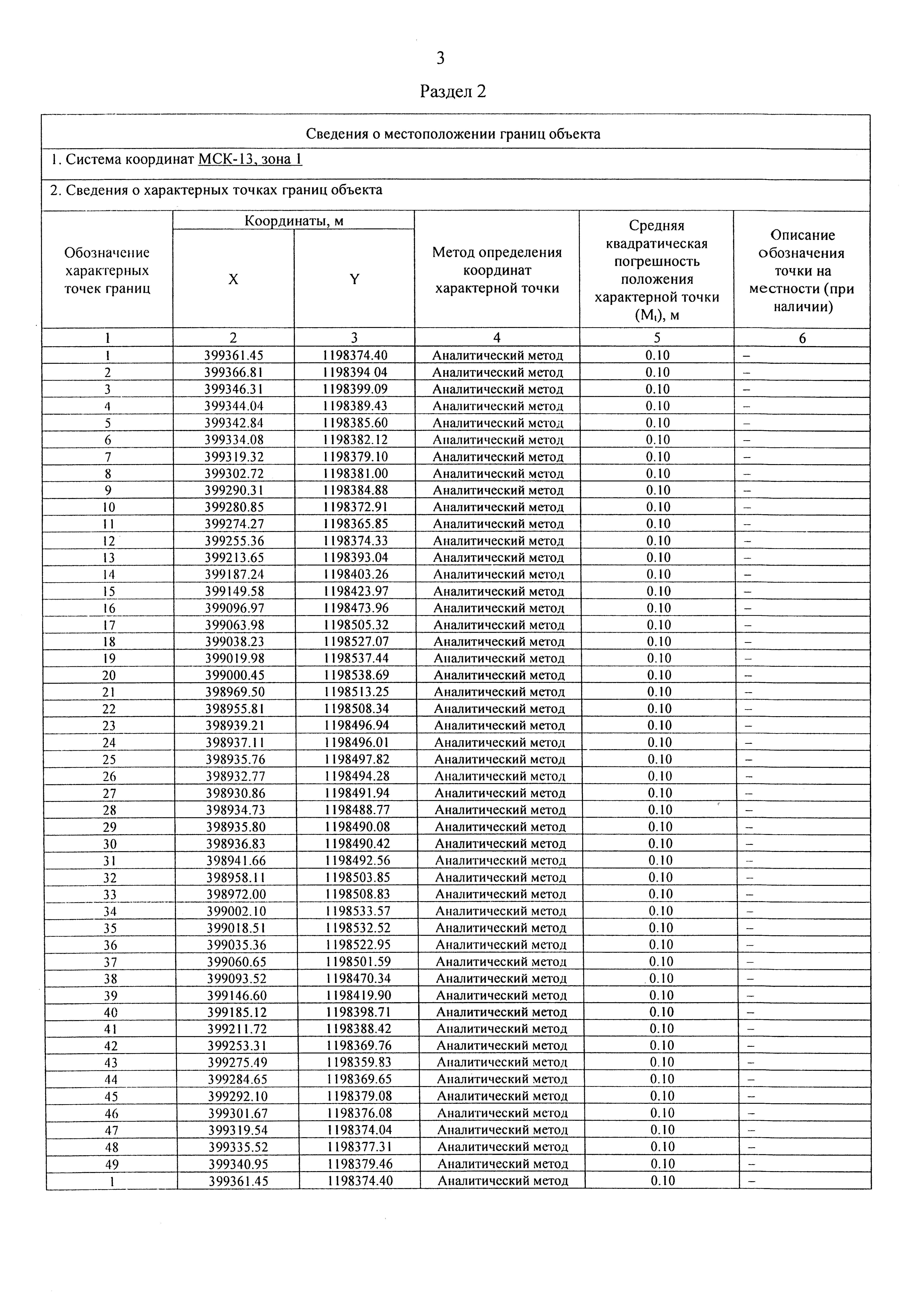
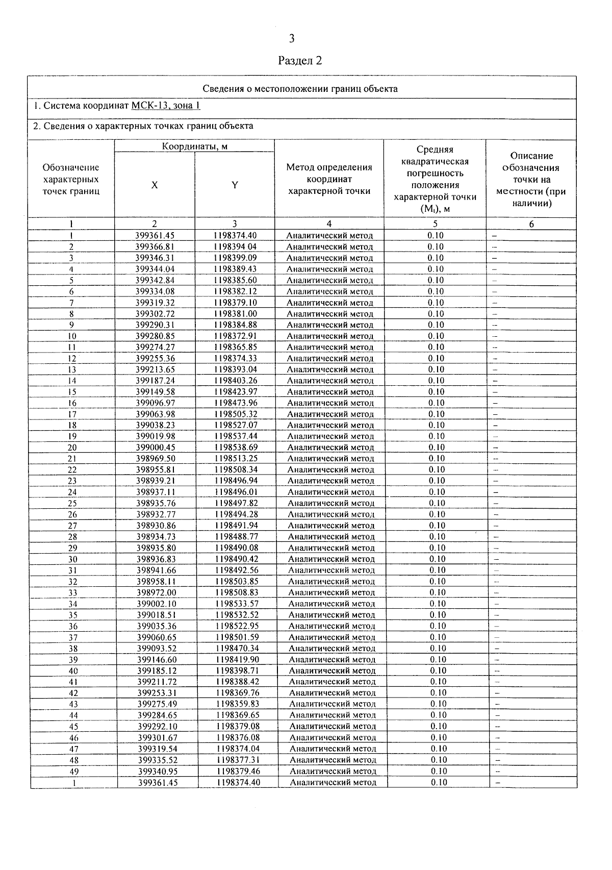
Постановление Правительства Республики Мордовия от 27.02.2025 № 266
"Об утверждении границы охранной зоны газораспределительной сети"
Номер опубликования: 1300202502270003
Дата опубликования: 27.02.2025
Страница №4 из 6: