Официальное опубликование правовых актов
ОФИЦИАЛЬНОЕ ОПУБЛИКОВАНИЕ
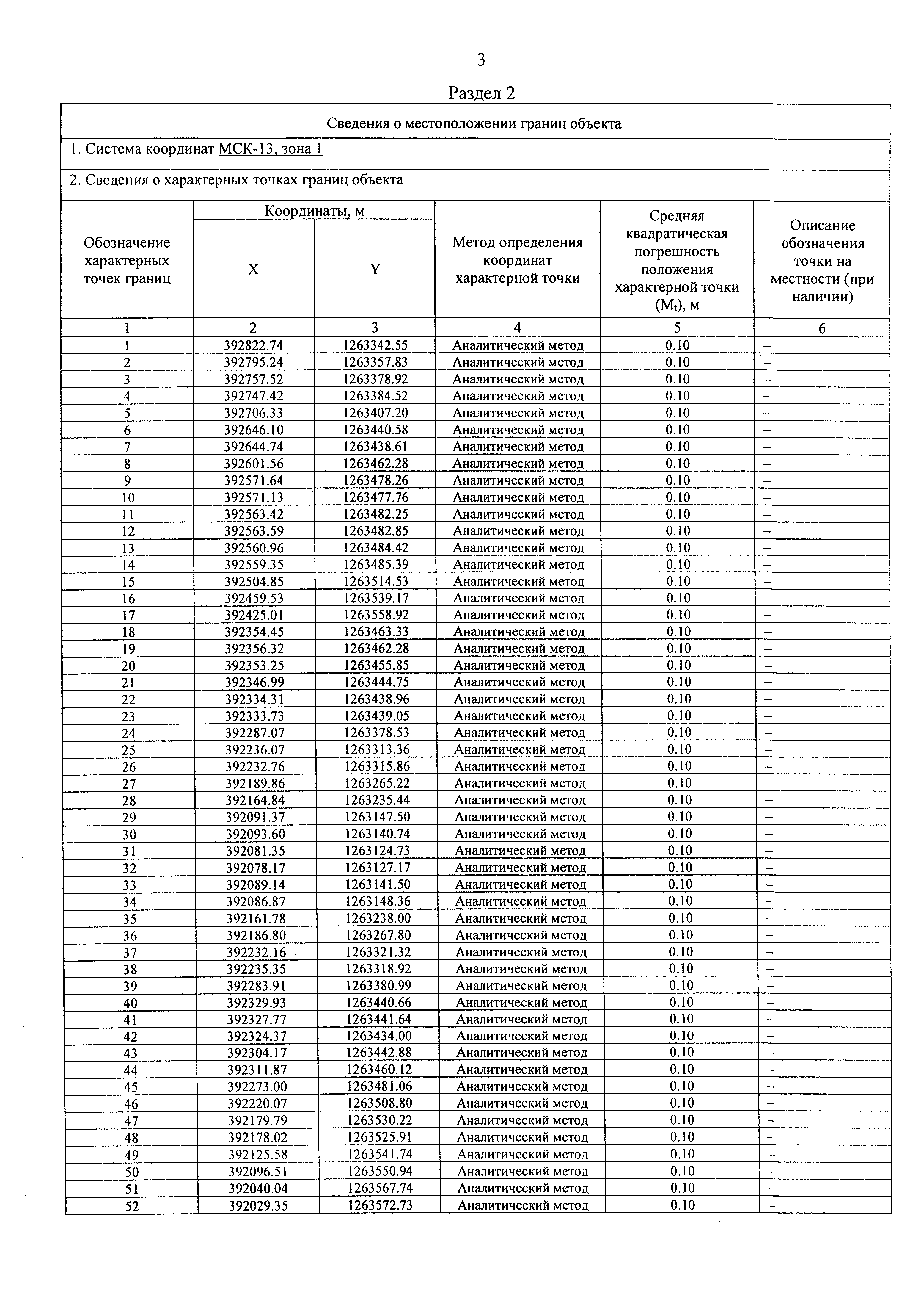
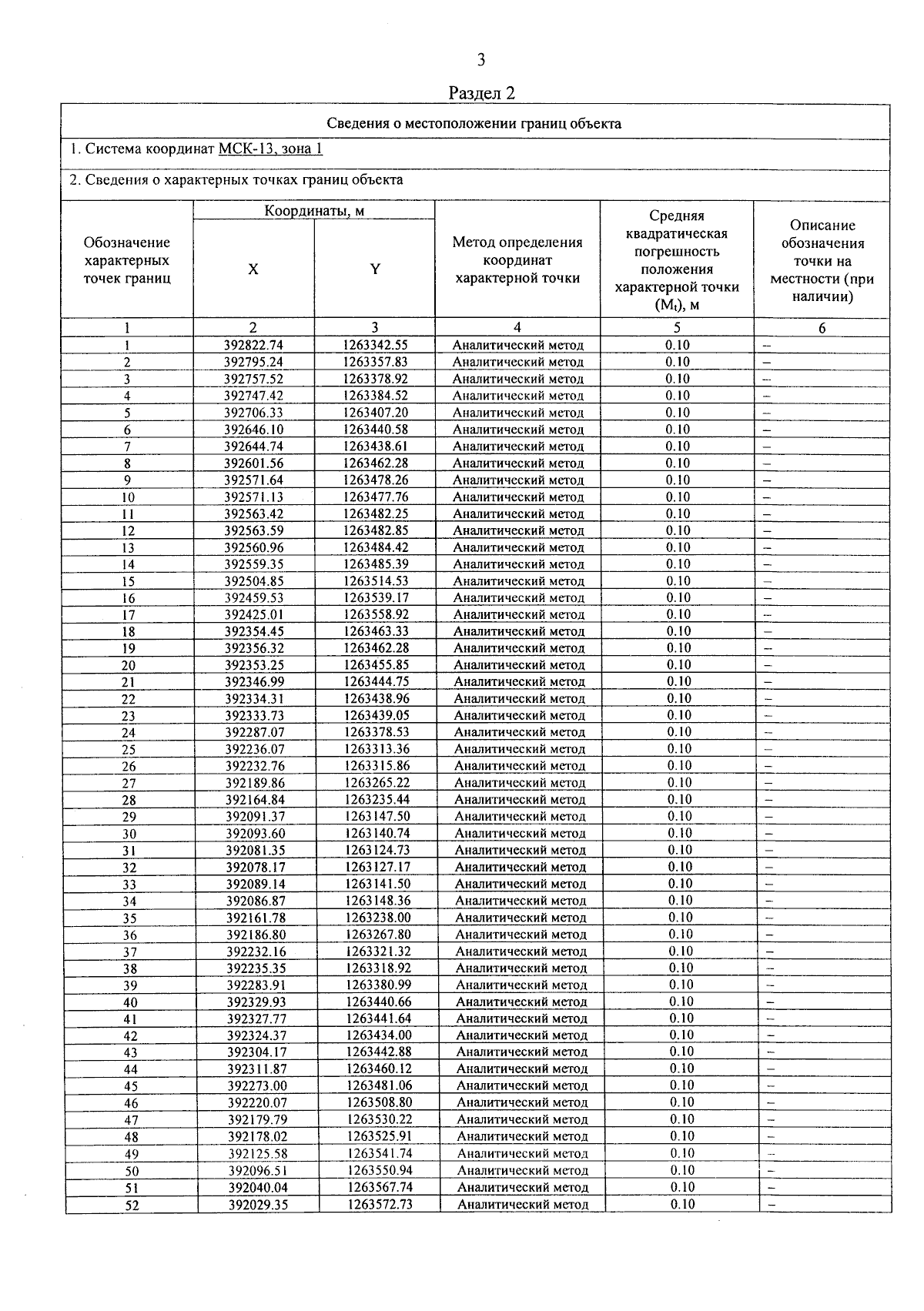
Постановление Правительства Республики Мордовия от 14.02.2025 № 234
"Об утверждении границы охранной зоны газораспределительной сети"
Номер опубликования: 1300202502180017
Дата опубликования: 18.02.2025
Страница №4 из 15: