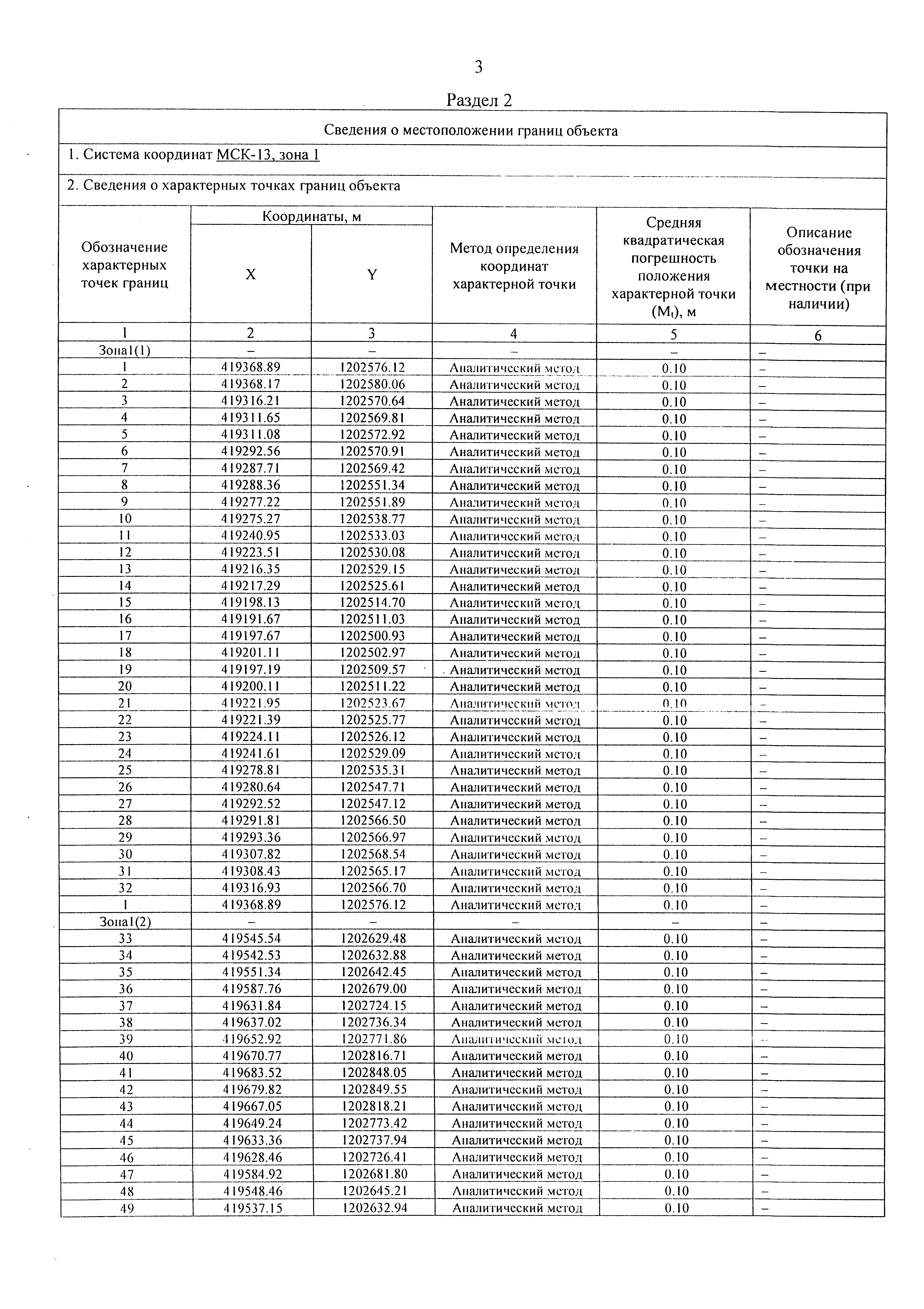
Постановление Правительства Республики Мордовия от 07.02.2025 № 153
"Об утверждении границы охранной зоны газораспределительной сети"
"Об утверждении границы охранной зоны газораспределительной сети"
Номер опубликования: 1300202502120004
Дата опубликования:
12.02.2025
