Официальное опубликование правовых актов
ОФИЦИАЛЬНОЕ ОПУБЛИКОВАНИЕ
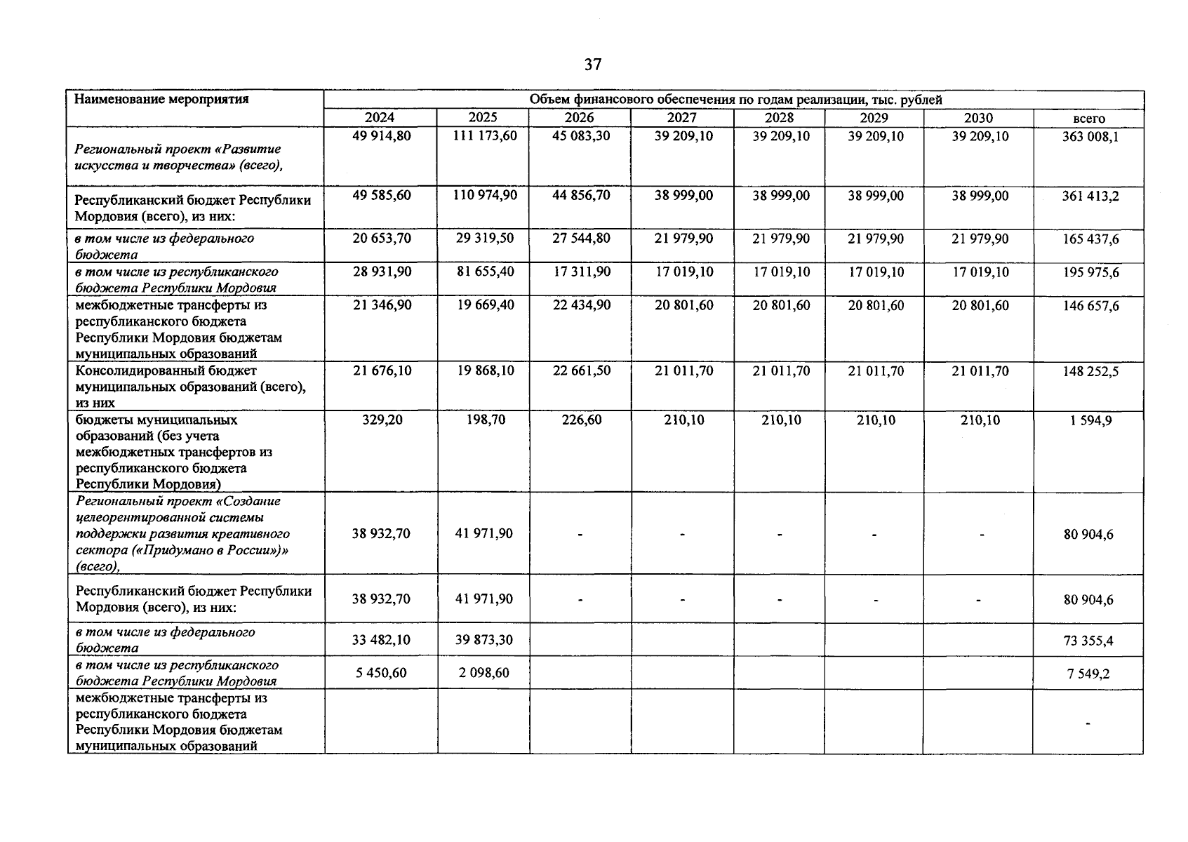
Постановление Правительства Республики Мордовия от 05.02.2025 № 74
"Об установлении расходных обязательств Республики Мордовия и внесении изменений в государственную программу Республики Мордовия "Развитие культуры"
Номер опубликования: 1300202502060006
Дата опубликования: 06.02.2025
Страница №37 из 43:
Увеличить