Официальное опубликование правовых актов
ОФИЦИАЛЬНОЕ ОПУБЛИКОВАНИЕ
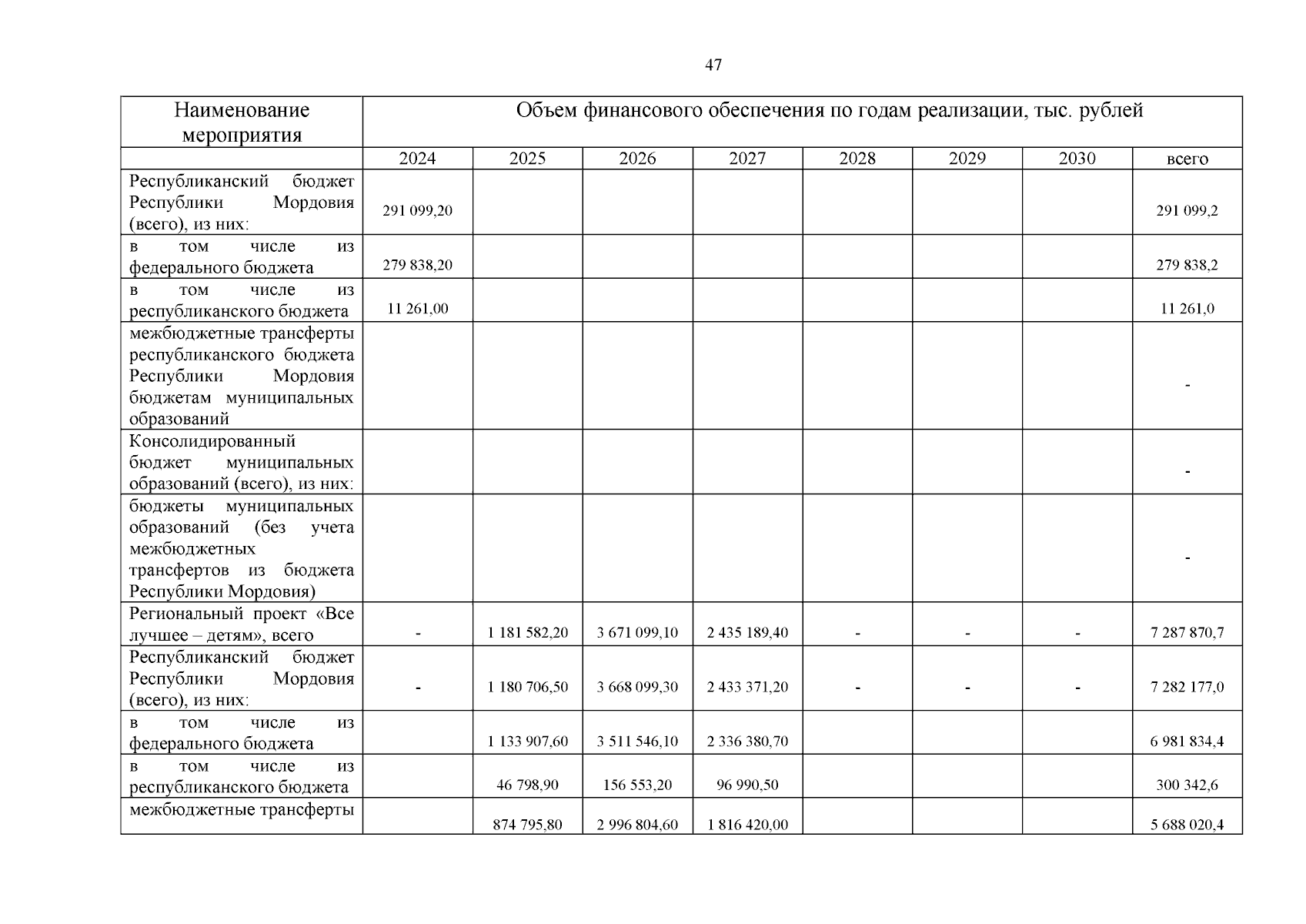
Постановление Правительства Республики Мордовия от 22.01.2025 № 39
"О внесении изменения в государственную программу Республики Мордовия "Развитие образования в Республике Мордовия"
Номер опубликования: 1300202501270001
Дата опубликования: 27.01.2025
Страница №47 из 124:
Увеличить