Официальное опубликование правовых актов
ОФИЦИАЛЬНОЕ ОПУБЛИКОВАНИЕ
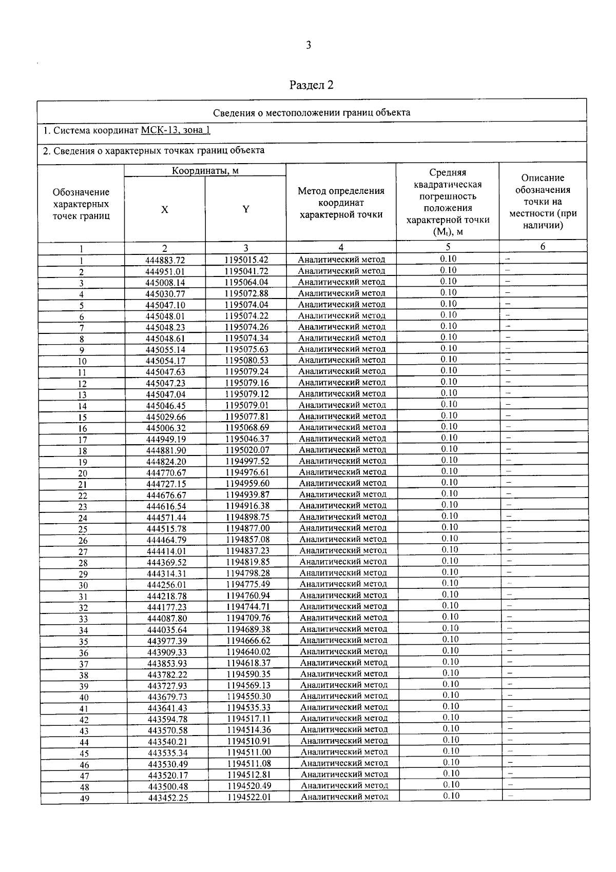
Постановление Правительства Республики Мордовия от 20.01.2025 № 18
"Об утверждении границы охранной зоны газораспределительной сети"
Номер опубликования: 1300202501210022
Дата опубликования: 21.01.2025
Страница №4 из 7:
Увеличить