Официальное опубликование правовых актов
ОФИЦИАЛЬНОЕ ОПУБЛИКОВАНИЕ
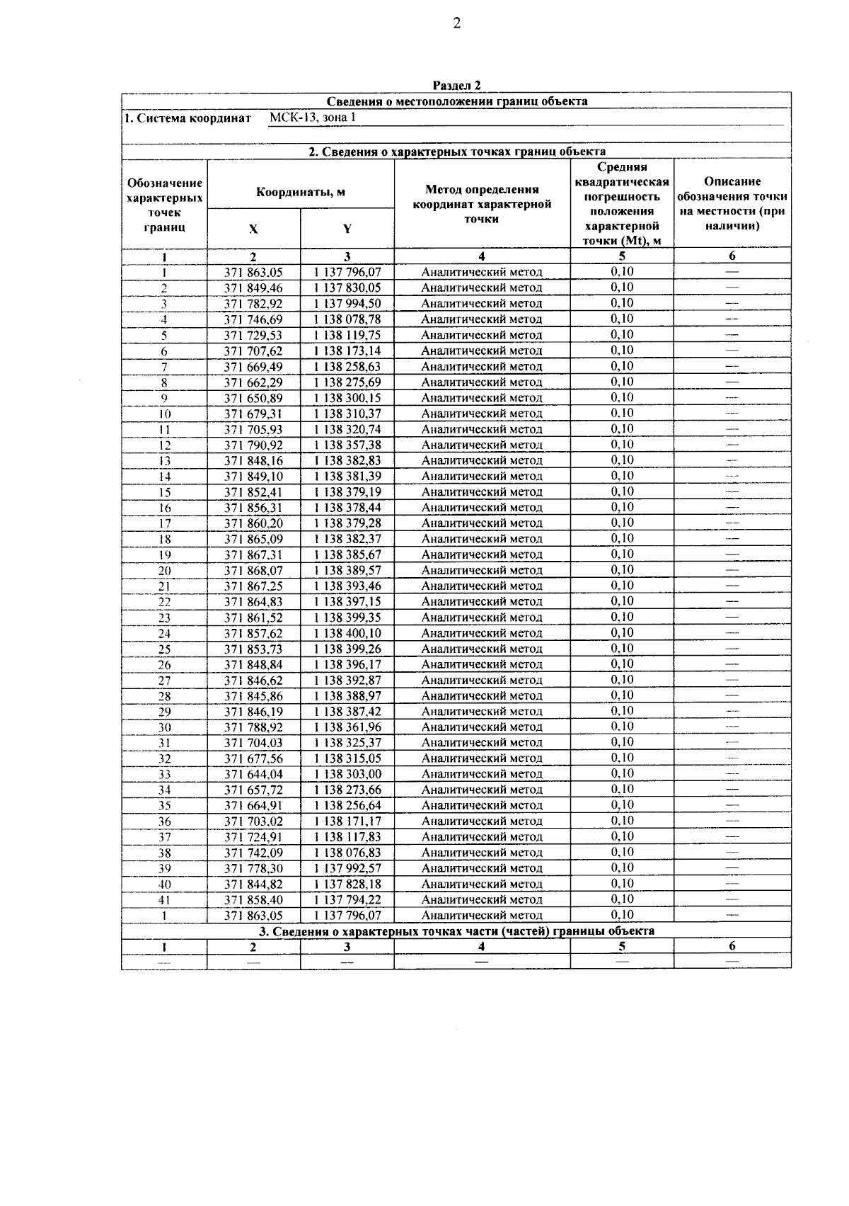
Постановление Правительства Республики Мордовия от 18.10.2024 № 740
"Об утверждении границы охранной зоны газораспределительной сети"
Номер опубликования: 1300202410180011
Дата опубликования: 18.10.2024
Страница №3 из 5:
Увеличить