Официальное опубликование правовых актов
ОФИЦИАЛЬНОЕ ОПУБЛИКОВАНИЕ
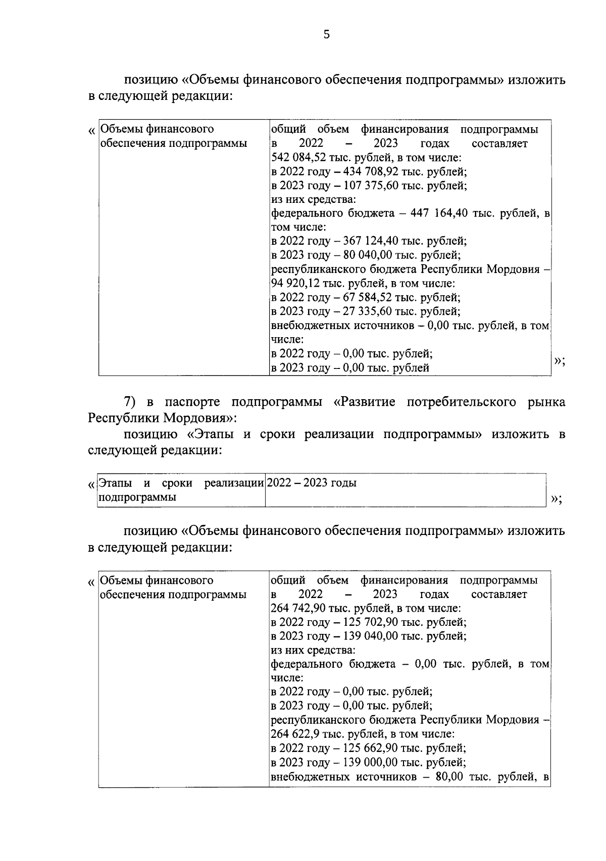
Постановление Правительства Республики Мордовия от 19.01.2024 № 34
"О внесении изменений в государственную программу "Экономическое развитие Республики Мордовия"
Номер опубликования: 1300202401220002
Дата опубликования: 22.01.2024
Страница №5 из 24:
Увеличить