Официальное опубликование правовых актов
ОФИЦИАЛЬНОЕ ОПУБЛИКОВАНИЕ
Постановление Правительства Республики Мордовия от 25.12.2023 № 734
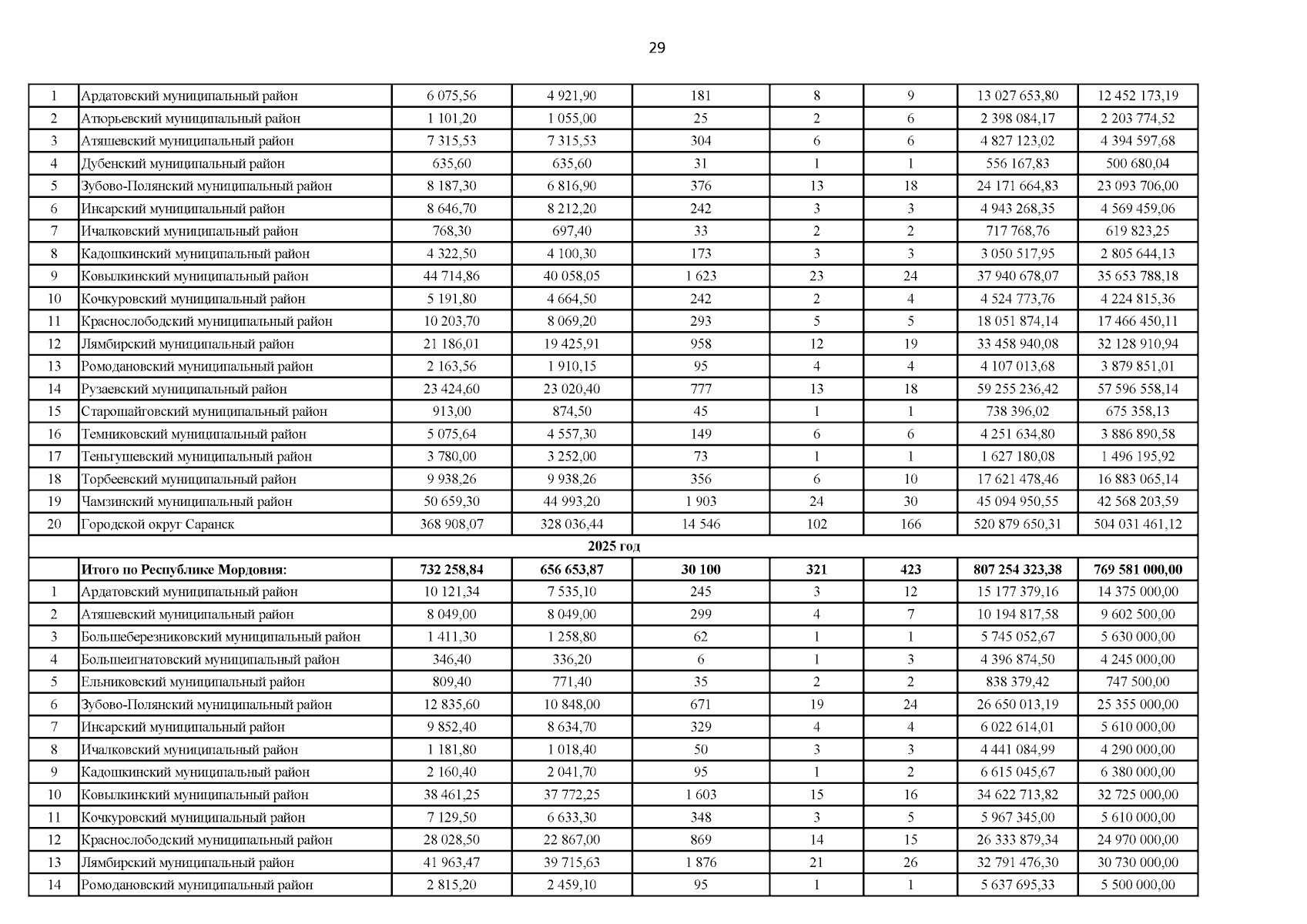
"О внесении изменения в краткосрочный план реализации на 2023 – 2025 годы Республиканской адресной программы "Проведение капитального ремонта общего имущества в многоквартирных домах, расположенных на территории Республики Мордовия" на 2014 – 2055 годы"
Номер опубликования: 1300202312270002
Дата опубликования: 27.12.2023
Страница №29 из 30:
Увеличить