Официальное опубликование правовых актов
ОФИЦИАЛЬНОЕ ОПУБЛИКОВАНИЕ
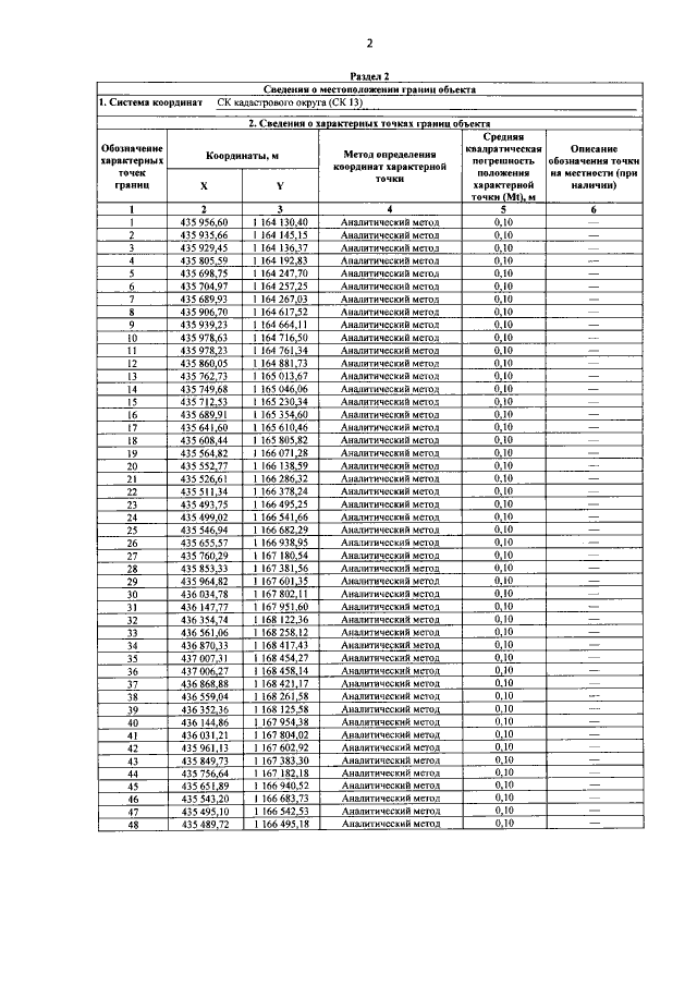
Постановление Правительства Республики Мордовия от 29.08.2022 № 589
"Об утверждении границы охранной зоны газораспределительной сети"
Номер опубликования: 1300202209010004
Дата опубликования: 01.09.2022
Страница №3 из 15:
Увеличить