Официальное опубликование правовых актов
ОФИЦИАЛЬНОЕ ОПУБЛИКОВАНИЕ
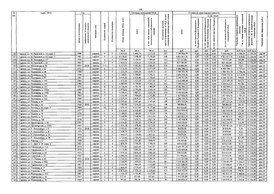
Постановление Правительства Республики Мордовия от 14.06.2022 № 471
"О внесении изменения в краткосрочный план реализации на 2017 - 2019 годы Республиканской адресной программы "Проведение капитального ремонта общего имущества в многоквартирных домах, расположенных на территории Республики Мордовия" на 2014 - 2043 годы"
Номер опубликования: 1300202206170005
Дата опубликования: 17.06.2022
Страница №18 из 40:
Увеличить