Официальное опубликование правовых актов
ОФИЦИАЛЬНОЕ ОПУБЛИКОВАНИЕ
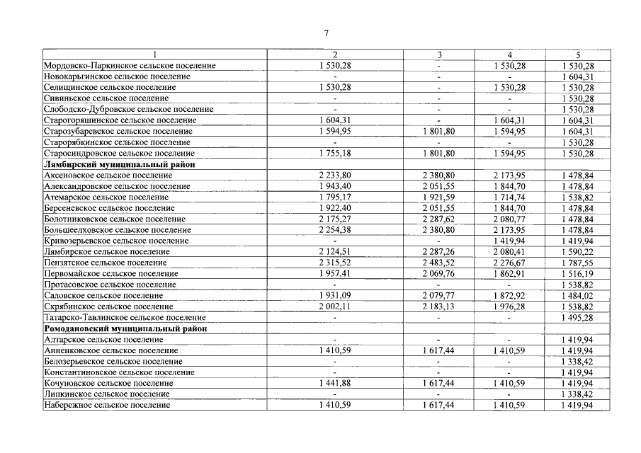
Постановление Правительства Республики Мордовия от 04.04.2022 № 338
"О региональных стандартах стоимости жилищно-коммунальных услуг и максимально допустимой доли расходов граждан на оплату жилого помещения и коммунальных услуг в совокупном доходе семьи на 2022 год, используемых для расчета субсидий, и признании утратившими силу отдельных постановлений Правительства Республики Мордовия"
Номер опубликования: 1300202204060023
Дата опубликования: 06.04.2022
Страница №19 из 32:
Увеличить