Официальное опубликование правовых актов
ОФИЦИАЛЬНОЕ ОПУБЛИКОВАНИЕ
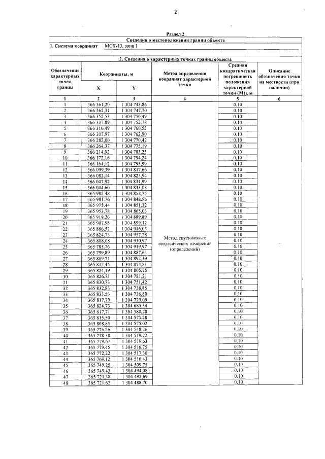
Постановление Правительства Республики Мордовия от 28.02.2022 № 180
"Об утверждении границы охранной зоны газораспределительной сети"
Номер опубликования: 1300202203010018
Дата опубликования: 01.03.2022
Страница №3 из 11:
Увеличить