Официальное опубликование правовых актов
ОФИЦИАЛЬНОЕ ОПУБЛИКОВАНИЕ
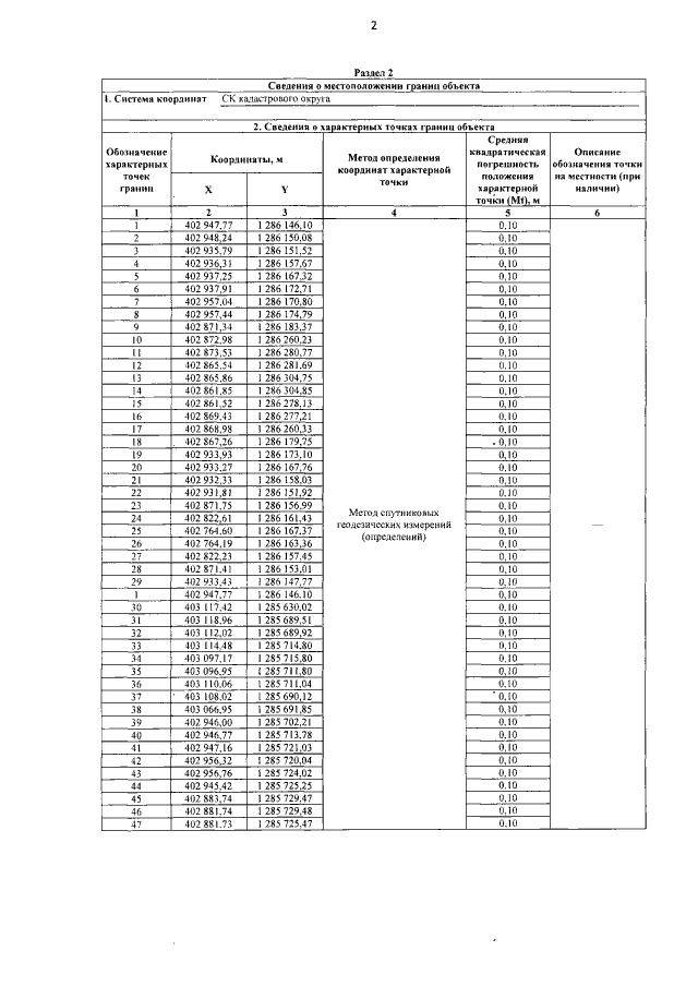
Постановление Правительства Республики Мордовия от 27.01.2022 № 88
"Об утверждении границы охранной зоны газораспределительной сети"
Номер опубликования: 1300202202010027
Дата опубликования: 01.02.2022
Страница №3 из 9:
Увеличить