Официальное опубликование правовых актов
ОФИЦИАЛЬНОЕ ОПУБЛИКОВАНИЕ
Постановление Правительства Республики Мордовия от 28.12.2020 № 701
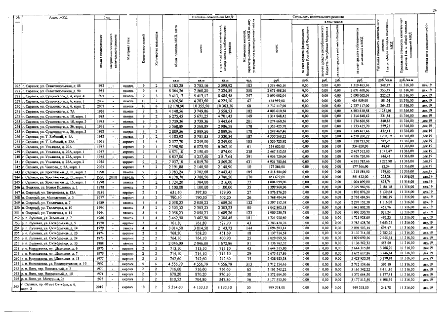
"О внесении изменения в краткосрочный план реализации на 2017-2019 годы Республиканской адресной программы "Проведение капитального ремонта общего имущества в многоквартирных домах, расположенных на территории Республики Мордовия" на 2014-2043 годы"
Номер опубликования: 1300202012300008
Дата опубликования: 30.12.2020
Страница №24 из 47:
Увеличить