Официальное опубликование правовых актов
ОФИЦИАЛЬНОЕ ОПУБЛИКОВАНИЕ
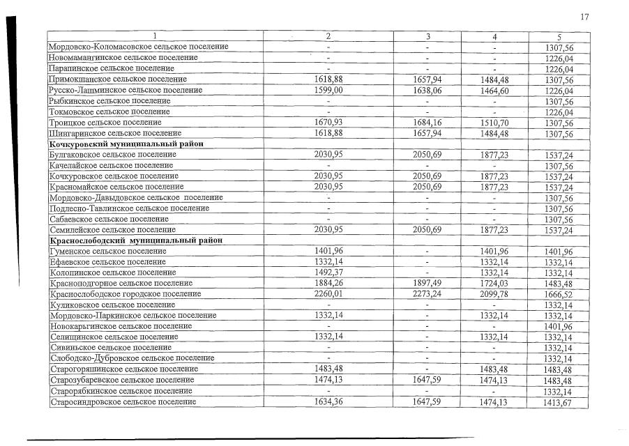
Постановление Правительства Республики Мордовия от 17.08.2020 № 480
"О внесении изменения в приложения 1 – 3 к постановлению Правительства Республики Мордовия от 20 февраля 2020 г. № 125"
Номер опубликования: 1300202008190001
Дата опубликования: 19.08.2020
Страница №17 из 30:
Увеличить