Официальное опубликование правовых актов
ОФИЦИАЛЬНОЕ ОПУБЛИКОВАНИЕ
Постановление Правительства Республики Мордовия от 23.03.2020 № 168
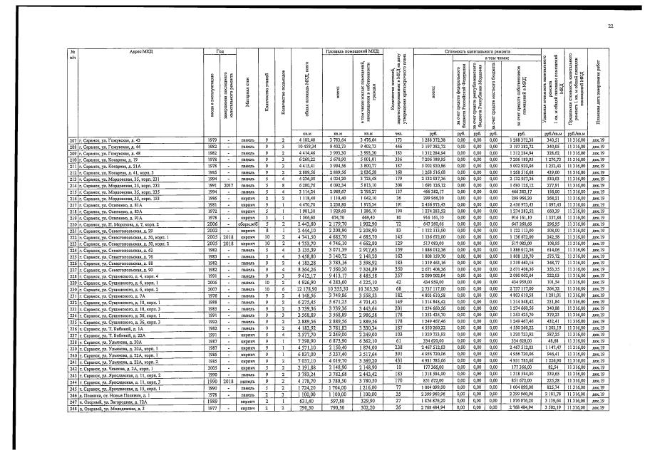
"О внесении изменения в краткосрочный план реализации на 2017 – 2019 годы Республиканской адресной программы "Проведение капитального ремонта общего имущества в многоквартирных домах, расположенных на территории Республики Мордовия" на 2014-2043 годы"
Номер опубликования: 1300202003260003
Дата опубликования: 26.03.2020
Страница №22 из 41:
Увеличить